分级介孔碳纳米管限域的纳米VO2用于高性能锂硫电池
研究简介
多硫化物穿梭效应、硫和多硫化锂的绝缘性能以及硫正极在循环过程中的体积变化等问题严重阻碍了锂硫电池(LSB)的应用。为了解决这些问题,我们设计了一种新型多功能硫主体,由高度分散的VO2纳米颗粒限制在介孔碳包覆的碳纳米管基质(VO2-mNC@CNT)中组成。基于VO2-mNC@CNT的正极表现出显著改善的硫氧化还原动力学,并有效抑制了穿梭效应。优化后的LSB表现出优异的电化学性能,在0.5C下初始容量为1152.6mAhg-1,100次循环后容量保持率高达88.3%。此外,在1.0C下循环1000次后电池仍能保持441.3mAhg-1的可逆容量,相当于每次循环仅0.05%的超低容量衰减率。这些结果凸显了VO2-mNC@CNT复合材料作为先进LSB高性能硫宿主的巨大潜力。
图文导读

图1.(a)VO2-mNC@CNT制备示意图。(b)锂硫电池示意图。(c)SEM,(d)TEM,(e)HRTEM,(f)带有C、N和V元素映射的STEM图,(g)XRD,以及(h)V2p和(i)VO2-mNC@CNT的N1s的高分辨率XPS。

图2.(a)VO2-mNC@CNT/S的STEM图和(b)相应的元素映射。(c)VO2-mNC@CNT/S的热重曲线。(d)VO2-mNC@CNT/S的N2吸附-解吸等温线,插图为VO2-mNC@CNT/S的孔径分布曲线。(e)含有和不含主体材料的Li2S6溶液的UV-vis吸附光谱,插图为引入不同主体材料后的颜色变化。

图3.Li2S8在(a)VO2-mNC@CNT、(b)VO2-CNT和(c)mNC@CNT基底上的恒电位放电曲线。(d)VO2-mNC@CNT/S、(e)VO2-CNT/S和(f)mNC@CNT/S正极的LSB在1.7至2.8V范围内以0.1至0.5mVs-1不同扫描速率下的CV曲线,以及(g-i)峰C1、峰C2和峰A的峰电流随扫描速率平方根变化的拟合曲线。(j)VO2-mNC@CNT/S、(k)VO2-CNT/S和(l)mNC@CNT/S基LSB的恒电流放电曲线。

图4.(a)Li2S、Li2S2、Li2S4、Li2S6、Li2S8和S8的优化几何形状和(b)LiPSs在mNC@CNT、VO2-CNT和VO2-mNC@CNT表面的相应吸附能,蓝色、棕色、红色、灰色、黄色和绿色球分别代表V、C、O、N、S和Li原子。(c)LiPSs在mNC@CNT、VO2-CNT和VO2-mNC@CNT上还原的能量分布。

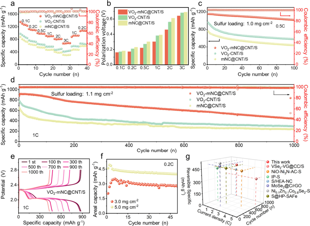
图5.(a)不同电流密度下的倍率性能。(b)不同倍率下的极化电压。(c)0.5C下的循环性能和库仑效率。(d)具有mNC@CNT/S、VO2-CNT/S和VO2-mNC@CNT/S正极的LSB在1.0C下循环1000次。(e)使用VO2-mNC@CNT/S正极在1.0C下循环1、100、300、500、700、900和1000次的电压曲线。(f)基于VO2-mNC@CNT/S的LSB的高硫负载测试。(g)与其他先前报道的作品的比较。

图6.(a)室温下以2Ag–1运行的Zn–I2电池的循环稳定性;(b)充满电后闲置48小时的Zn–I2电池的自放电性能;(c-f)电解液抗冻性:(c)1MZnSO4;(d)1MZnSO4和0.1MI–;(e)1MZnSO4和EG(50vol%);(f)1MZnSO4和0.1MI–和EG(50vol%)。(g)使用1MZnSO4和EG(50vol%)电解液的Zn对称电池的电压曲线,在−30°C和1mAcm–2/0.5mAhcm–2下测试;在−30°C下以(h)0.2Ag–1和(i)0.5Ag–1运行的改进型Zn–I2电池的循环稳定性;使用方形外壳的改进型Zn–I2电池:(j)具有两个正极板和三个负极板的配置;(k)开路电压为1.18V;(l、m)通过将板放入外壳中来组装电池并展示组装电池的良好运行;(n)组装电池的充电/放电曲线。
研究结论
本研究通过诱导Zn-(002)取向沉积、抑制析氢并增强电解质的抗冻性,实现了无枝晶和低温Zn-I2电池。沉积Zn的(002)取向是通过应力介导的(002)织构化Zn负极和EG改性电解质的协同调控实现的。利用ac-TEM,我们提供了原子级的Zn晶体成核信息,从而加深了对取向调控机制的理解。I-离子诱导的疏水内亥姆霍兹层的形成有效抑制了析氢。本研究对I-在增强Zn负极性能方面的作用的分析与以往研究不同,为利用无机阴离子改性电极/电解质界面提供了新的视角。此外,本研究基于横截面电子沟道衬度图像展示了Zn负极的晶粒取向,丰富了表征先进金属负极材料的方法。经过多重结构优化,设计的锌对称电池在1mAhcm–2和6mAhcm–2下分别实现了7710h和1800h的稳定循环;优化后的锌碘电池在−30℃下以0.2Ag–1电流密度循环2300次后容量仍可达89mAhg–1,在室温下以2Ag–1电流密度循环17000次后容量仍可达125mAhg–1。此外,还组装了具有两块正极板和三块负极板的方壳锌碘电池,并表现出良好的性能。本研究结果也为其他水系锌基电池,如锌锰电池的研发提供了宝贵的启发。
