谷胱甘肽/氧化谷胱甘肽氧化还原对锌负极溶解氧和质子腐蚀的协同抑制
研究简介
水系锌离子电池(AZIB)的实际应用需要解决温度范围限制这一关键挑战,即高温下腐蚀以热力学为主,低温下传质受阻以动力学为主。尽管这些与温度相关的失效机制已被广泛研究,但溶解氧(DO)的腐蚀仍经常被忽视,因此需要进一步研究AZIB的宽温失效机制。本文证明DO腐蚀发生在宽温度范围内,并显著加剧锌腐蚀和副产物的形成,其严重程度甚至超过了众所周知的质子腐蚀。我们引入抗氧化剂谷胱甘肽(GSH)作为电解液添加剂,以解决DO和质子引起的腐蚀。共存的谷胱甘肽/氧化谷胱甘肽氧化还原对可以自发捕获DO并消除产生的H2。此外,GSH破坏了固有的氢键网络,降低了电解液的凝固点,并增强了低温传质动力学。在电池运行过程中,还可以形成自修复混合固体电解质界面相(SEI),从而抑制枝晶生长。因此,采用GSH改性电解质的Zn||Zn对称电池的使用寿命在-10°C下可延长至5000小时,在25°C下可延长至1700小时,在40°C下可延长至2500小时。本研究揭示了一种动态化学自脱氧/自脱氢策略,可设计出一种在-10至40°C范围内无腐蚀、无枝晶的锌负极,从而实现稳定的AZIBs。
图文导读

图示1. GSH在−10至40℃范围内性能提升示意图。

图1.(a,b)浸泡在含/不含DO电解液中的锌箔的SEM图。在(c)25°C、(d)40°C和(e)−10°C下静置7天后,采用不同电解液的Zn||Zn对称电池的恒电流循环。分别在(f)25°C和(g)40°C下的电位模拟。分别在(h)25°C和(i)40°C下的腐蚀电流密度模拟。

图2.(a)不同GSH含量的ZF中的溶解氧浓度和(b)pH值。(c)不同电解液的Zn||Zn电池的氢通量和pH值变化。循环前后电解液中(d)GSH和(e)GSSG与校准曲线的比较。(f)GSH+O2和GSSG+H2电解液的FTIR光谱。(g)GSH门控视觉显色系统示意图和相应的溶液数码照片。(h)GSH自脱氧反应、(i)DO在Zn阳极上的腐蚀和(j)GSSG自脱氢反应的吉布斯自由能曲线。

图3. 锌电镀/剥离过程中电极与(a)ZF和(b)GSH-ZF电解液的曲线和原位XRD轮廓图。(c)ZF和GSH-ZF电解液中氢键比率比较。(d)ZF和GSH-ZF电解液的DSC测试。(e)40°C下不同电解液的挥发性研究。(f)在ZF和GSH-ZF电解液中浸泡一周的锌负极的N1s和(g)S2pXPS光谱。在(h)ZF和(i)GSH-ZF电解液中以2mAcm–2-1mAhcm–2循环20次后锌负极的XPS深度剖面。

图4.25°C时(a)ZF和(b)GSH-ZF电解液中不同电流密度下锌金属成核的过电位。(c)25°C时不同电解液中过电位比较。(d)在−10°C至40°C时电流密度为5mAcm–2、容量为1mAhcm–2时ZF和GSH-ZF电解液中锌沉积的SEM图像。(e)25°C时ZF和GSH-ZF电解液中锌成核的尺寸分布。-10至40°C时(f)ZF和(g)GSH-ZF电解液中锌成核尺寸和成核密度比较。(h)临界锌成核尺寸和面积成核密度与锌沉积温度的关系示意图。(i)现场观察ZF和GSH-ZF电解质中Zn箔上的Zn沉积过程。

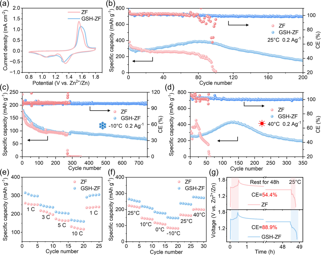
图5.(a)不同电解液中Zn||Zn对称电池的长期循环性能。(b–d)25°C、−10°C和40°C下Zn||Zn对称电池的剥离/镀覆行为。(e–g)在25°C、−10°C和40°C时电流密度为1至10mAcm–2下不同电解液中Zn||Zn对称电池的倍率性能。(h)在“储层半电池”方法下ZF和GSH-ZF电解液中Zn||Cu电池电压曲线的演变。(i–j)25°C和−10°C下ZF和GSH-ZF电解液中Zn电镀/剥离在Cu上的CE。

图6.(a)Zn||MnO2全电池在ZF和GSH-ZF 电解液中以0.2mVs–1的CV曲线。(b-d)全电池在ZF和GSH-ZF 电解液中在25°C、-10°C和40°C时的循环稳定性。(e)采用ZF和GSH-ZF电解液的全电池的倍率性能。(f)Zn||MnO2全电池在不同温度下的比容量。(g)自放电测试。
研究结论
深入研究了溶解氧(DO)对-10~40℃范围内AZIB腐蚀行为的影响,结果表明,在-10~40℃范围内,锌阳极不仅易受质子腐蚀和枝晶生长的影响,而且易受DO腐蚀。受生物抗氧化机制的启发,我们采用谷胱甘肽(GSH)作为电解液添加剂,在-10~40℃范围内有效去除DO。GSH通过自脱氧有效去除电解液中的DO,随后产生的氧化型谷胱甘肽(GSSG)通过自脱氢去除H2。基于GSH和GSSG之间的氧化还原介导循环,实现了电解液中DO腐蚀和质子腐蚀的协同抑制作用。在-10~40℃温度范围内,电解液中的DO浓度显著降低84.5%,而GSH实现了67.3%的持续脱氧效率。另一方面,GSH可以破坏原有的氢键网络,将凝固点降低到−55℃以下,减弱水分子活性引起的质子腐蚀。此外,GSH与OTf–形成有机–无机杂化SEI膜,内层为富含ZnF2/ZnS的层,外层为富含酰胺的层,使Zn沉积更加均匀。因此,所设计的电解液在−10℃~40℃范围内表现出优异的循环稳定性,在Zn||Zn对称电池中实现了5000小时的长循环寿命。同时,在25℃下1000次循环中平均CE高达98.83%,在−10℃下3400次循环中CE接近100%,在40℃下900次循环中平均CE高达98.68%,表明电解液在不同温度下具有很高的可逆性。本工作采用动态化学自脱氧/自脱氢策略,有效增强了金属负极的循环稳定性,同时显著提高了水系电池在宽温度范围内的环境适应性。
