X射线衍射 Rietveld 精修在锂电池正极材料中的应用
XRD Rietveld 精修作为材料结构分析的重要手段, 在建立材料“构–效”关系方面发挥着重要的作用。
XRD Rietveld 精修可以得到物相比例、晶胞参数、关键原子占比、原子坐标等结构信息, 对开发高性能锂离子电池正极材料具有重要的指导意义。
一、XRD Rietveld 结构精修
晶胞参数是影响衍射峰位和峰强的重要因素, 已知物质的晶体结构(晶体类型、空间群、原子占比和原子坐标等), 就可以计算该物质的 X 射线衍射谱的峰位和强度。由于仪器或者样品等诸多因素,容易造成实测图谱与理论图谱存在差距,因此需要精修,以获得样品的实际结构信息。
在精修过程中, 常用 Rp 和 Rwp 评判 Rietveld 精修结果的可靠性, Rwp的分子即是最小二乘法拟合中得到的极小量, 可以反映拟合的优劣。一般情况下, 当 Rwp<10%时, 可以认为精修结果可靠。
这里我们就不过多赘述了,仅简单介绍一下,下面直接开始讲XRD精修在正极材料中的应用。
二、XRD精修在正极材料中的应用


上图(a)为以LiFePO4为代表的聚阴离子型结构;图(b)为以LiMn2O4为代表的尖晶石型结构; 图(c)为LiMO2(M=Ni,CO,Mn,Al); 图d为富锂锰基层状结构材料,主要代表为NCM材料。
(1)在LiMPO4材料中,P–O 键长决定了材料的结构稳定性, 键长越短键能越强, 结构越稳定, 有助于改善材料的循环性能; 另外, Li–O 键强弱决定了 Li 的脱嵌难易程度, Li–O 越弱, 锂离子越容易脱嵌, 有助于改善材料的倍率性能。
(2)对于LiMO2材料,如图c,(003)晶面间距代表锂离子扩散通道, (003)晶面间距越大, 锂离子扩散越容易。同时晶胞参数c也代表了锂层层间距的变化。而 c/a 反映了层状结构的有序度, 当 c/a 大于 4.9 时, 表明层状结构已形成, 数值越大表明层状结构越完整。
(3)对于NCM材料,由于Ni离子和Li离子半径差不多,容易造成Ni离子占据Li位,如图d所示。XRD Rietveld 精修可以计算 Ni2+占据 3a 位置的含量, 即“Li/Ni 反位”占比, “Li/Ni 反位”现象会导致锂离子扩散困难, 影响材料的倍率性能。
XRD精修-举例说明:
(1)Y和F协同掺杂LiFePO4及XRD精修
Wang 等研究了Y, F协同掺杂的LiFePO4 正极材料的结构信息及电化学性能, 分别对LiFePO4/C(LFP/C) 、LiFe0.995Y0.005PO3.996F0.004/C(LFP/C-YF-1)、LiFe0.994Y0.006PO3.991F0.009/C(LFP/C-YF-2)和 LiFe0.988Y0.012PO3.99F0.01/C (LFP/C-YF-3)正极材料进行 XRD 精修。结果如下图所示:


图:磷酸铁锂(LiFePO4改性前后XRD精修结果)

通过测试的XRD数据,进行精修,可得出晶胞参数的数据。通过晶胞参数的数据,可以分析出材料结构的变化等信息,从而判断推断出材料的性能。
分析如下:
从上可知,掺杂后样品的晶胞参数a,b,c均变小,导致整个晶胞的体积缩小。F–占据 O2–位, Y3+占据Fe2+位, F–离子的半径(0.133 nm)小于 O2–(0.14 nm), 导致单位晶胞体积缩小, 而 Y3+的半径(0.09 nm)大于 Fe2+(0.078 nm), 会导致单位晶胞体积膨胀。因此, 整个晶胞的体积收缩意味 F 已经掺入到 LiFePO4 的晶格中。此外, Y3+占据 Fe2+位使得结构中形成更多的 Li 空位, 进而改善锂离子扩散能力。
上图(c)和(d)可以看出,掺杂后材料的 Li–O 键增长而 P–O 键缩短。Li–O 增长使 Li 离子更容易嵌入和脱出晶格,提高材料的倍率性能。
(2) XRD及精修对单晶和多晶富锂层状正极材料的研究
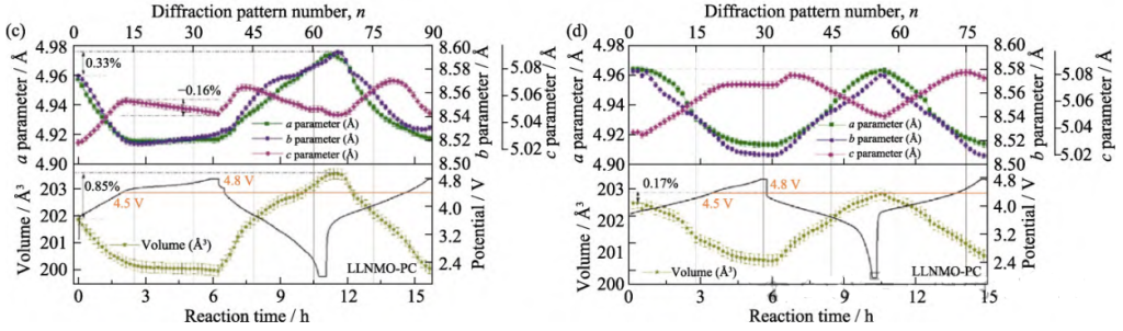
Yang 等借助原位同步辐射 XRD 及精修讨论了单晶与多晶富锂层状正极材料 Li(Li0.2Ni0.2Mn0.6)O2 (LLNMO)的结构稳定性, 通过精修获得了单晶(LLNMO-SC)和多晶材料(LLNMO-PC)的晶体结构信息。


图 Li(Li0.2Ni0.2Mn0.6)O2 正极材料的 XRD 结构精修结果
单晶和多晶材料的晶体结构均为C2/m空间群,晶胞参数也相似。在第一次充电至4.5V的过程中,PC和SC材料的晶胞参数变化基本一致。在充电至4.8V的过程中,多晶(PC)的晶胞参数c变化比较明显,而单晶(SC)几乎保持恒定,这里证明了单晶材料具有更好的耐电压性,能充电至高电压下结构更稳定。同时,根据上图a,b中也可以看出,单晶材料的a,b,c和体积V变化也更小。有力地证明了单晶材料在循环过程中具有优异的结构可逆性和稳定性。
(3)Al掺杂LiMn2O4及XRD精修的应用
Cai 等研究了Al掺杂的LiMn2O4 结构特征。对合成的样品LiMn2-xAlxO4 (x=0.05, 0.10, 0.16)进行 XRD 结构精修, 结果如下表 5所示。

表 Al 掺杂 LiMn2O4 的 XRD 结构精修结果
随着 Al 掺杂量增大, 晶胞体积随之变小, Al3+占据尖晶石结构八面体中 Mn3+的16d 位置。在尖晶石结构中晶胞体积较小, 使锂离子传输路径缩短, 进而改善了锂离子的扩散行为。
另外, 随着 Al3+占据Mn3+位, 晶胞中Mn3+的占比降低, 缓解了 Jahn-Teller 效应, 从而改善了 LiMn2O4的电化学性能。
(4)XRD精修在复相正极材料中的应用
复相正极材料,指的是一种材料由多个相组成。这种材料由多种晶胞参数,结构较为复杂,同时不便于表征,而且不同相在材料中的比例也不容易确定。这时候就需要利用XRD精修来计算。
Zuo等通过XRD精修计算了所合成的富锂锰基正极材料Li1.25Co0.25Mn0.50O2, XRD精修图谱如下图a所示。
Cao等通过XRD Rietveld 精修确定了锂离子电池复相正极材料 LiMnPO4·Li3V2(PO4)3/C (LMVP/C)的晶体结构和相含量, 如下图 (b)所示。

XRD Rietveld 精修可以揭示正极材料在合成过程中的结构演变规律, 为有序结构的定向合成提供指导, 因此XRD常用于材料开发的工作。对于材料专业的学生来说,学习XRD技术,必不可少。如果能掌握一种精修方法,不管是在科研中,还是今后的工作中,此项技术必定能让你如虎添翼。
