MOF衍生碳上的杂原子调控不对称钴单原子催化剂可实现耐用的锌碘电池
研究简介
合理设计具有优化电子结构和受限结构的催化主体材料,对于解决水系锌碘电池中的穿梭效应和缓慢动力学至关重要。本研究通过将Co-N3P1位点锚定在源自金属有机骨架(MOF)的氮磷共掺杂碳基质(Co-N-PC)上,开发出一种非对称钴单原子催化剂。通过磷掺入对Co中心进行配位工程,打破了传统Co-N4构型的对称性,增强了电荷重分布,并降低了碘解离的能垒,这已由密度泛函理论计算证实。系统优化表明,适度的Co和P掺杂可以平衡活性位点和电子导电性,在保持结构稳定性的同时实现多碘化物的强化学吸附。原位拉曼光谱和紫外可见光谱证实了碘物种的有效限制和可逆的碘转化。优化后的C3/I2正极表现出优异的循环性能,在5Ag-1电流密度下循环5万次后仍保持100.6mAhg-1的比容量。此外,该正极在柔性软包电池和3D打印/丝网印刷微电池中表现出了实际应用价值,展现了其在可扩展储能领域的潜力。本研究提出了一种用于设计转化型电池中高效催化主体的杂原子调控策略。
图文导读

图示1. AZIB中Co−N−PC/I2正极的设计原理以及与Co−N−C/I2和Co−N−PC/I2正极的比较,重点关注碘的转化过程和能垒。

图1. a) Co–N–PC催化剂的合成示意图;b-d) C3的TEM、HRTEM和SAED图;e) C3的HAADF-STEM图;f) C3的EDX映射图。

图2.a、b)以Co箔、CoO和CoPc为参考物的C3的XANES和FT-EXAFS光谱;c)C3的R空间拟合曲线;d-f)以Co箔和CoPc为参考物的C3的小波变换结果;g)C3的k空间拟合曲线;h、i)C1-C3的氮吸附-解吸等温线和孔径分布

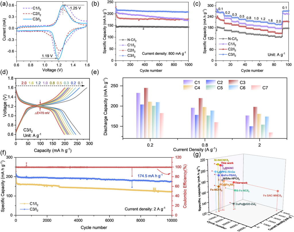
图3.a)C1/I2–C3/I2正极的CV曲线;b)N−C/I2和C1/I2–C3/I2正极的循环性能;c)N−C/I2和C1/I2–C3/I2正极的倍率性能;d)不同电流密度下C3/I2正极的GCD曲线;e)显示C1/I2–C7/I2正极倍率能力的条形图;f)C1/I2和C3/I2正极的长期循环性能以及C3/I2正极在2Ag−1下的相应库仑效率;g)与报道的碘正极的循环性能比较。

图4. a–c)C1/I2−C3/I2正极的原位紫外可见光谱和放电曲线;d–f)分别为C1/I2−C3/I2的GCD曲线和原位拉曼光谱;g)吸附在C2和C3上的I−、I2、I3−和I5−的电荷差图。绿色部分表示电荷积累,蓝色部分表示电荷耗尽。绘图使用的等值面值为0.002eÅ−3;h)吸附在C2和C3上的I−、I2、I3−和I5−的吸附能;i)I2在C2和C3上还原反应的吉布斯自由能分布;j)C2和C3在费米能区附近的投影态密度(PDOS)。

图5. C3/I2正极的电化学性能和实际应用。a)循环稳定性和b)0.1Ag−1下软包装电池的GCD曲线;c)平坦、折叠和切割条件下的电压稳定性;d)两个串联的软包装电池为红色LED供电。3D打印集成微电池:e、f)制造过程示意图和数字图像;g)由两个串联微电池供电的定时器操作。基于丝网印刷技术的FZMB:h、i)平坦和扭曲条件下FZMB的数码照片;j)平坦和弯曲变形下的电压稳定性;k)弯曲条件下保持定时器功能。
研究结论
本研究成功开发了一种嵌入杂原子掺杂碳基质(Co−N−PC)的非对称Co−N3P1催化剂,可作为AZIB的有效载体。实验和理论分析表明,与传统的Co−N4配置相比,磷诱导的Co配位对称性破缺优化了电子结构,实现了更强的碘吸附并降低了碘解离的能垒。原位光谱监测证实了碘中间体的有效限制和可逆碘转化。因此,优化的C3/I2正极在0.8Ag−1时表现出207.9mAhg−1的优异放电容量,在5Ag−1下具有超过50000次循环的优异循环性能。实际应用已通过柔性软包电池和3D打印/丝网印刷微电池得到验证。这项工作强调了杂原子调控的不对称配位在调节碘氧化还原动力学中的关键作用,为可扩展的储能解决方案铺平了道路。
