锂离子电池过充电测试分析

文本将根据锂电池的基本原理、前人的文献研究,再结合本文进行的过充测试,将理论和实际测试有机结合,通过一定程度的分析和推理,从大方向上把握锂电池过充测试不同阶段的本质原因,为产品的开发提供指导性建议。

1 研究现状

锂电池过充电,发生的副反应主要为电解液在正、负极上发生的不同反应。对于正极而言,像由LiCoO2、LiMn2O4或三元材料等作为正极主材的电池,过充电时过度脱锂的正极活性物质容易发生分解反应,生成氧气;更普遍地,由于过充时正极电位较高,氧化性较强,电解液容易在正极上发生氧化分解产气,Kumai等人认为电解液也会与正极物质分解的O2发生反应并分解产气。

对于负极而言,过充时负极容易发生析锂导致负极向负电位偏移,以及沉积的锂层又会与电解液反应造成电池电压略微下降,此反应生成的固体产物为SEI膜的组成成分,同时产生气体;若过充导致电池内部温度达到90℃,则SEI膜又会发生分解产气反应。此外有文献报道,在较高电压下电解液会在正极氧化生成R-H+,迁移至负极后被还原产生H2。

2 过充实验及原理分析

2.1 过充电测试方法

本文采用商业化的21Ah容量的磷酸铁锂软包电芯作为测试对象,先将其充电至满电态,再对其进行过充测试。进行多组过充对比实验,过充以1C或0.5C电流进行恒流充电,设置充电截止电压为10V,电芯又分为使用夹具夹持进行过充和无夹具过充。无夹具时软包电芯过充会发生严重的胀气现象,而夹具夹持则能够完全抵抗电芯的鼓胀。同时使用采集仪监测电芯过充过程的电压和表面温度变化。

2.2 过充现象和步骤分析

图1为该软包电芯带夹具进行1C过充时的电压变化曲线。由图可知,满电电芯在过充初期,电压即开始迅速升高,一段时间后电压上升速率开始减缓,当电池电压充到接近6V时,电压进入了一个平台阶段,此后相当长的一段时间内电压持续维持在这一平台上,直到过充电后期,电池电压才又开始迅速升高。当电芯充到10V时,停止充电,电芯电压回落。

本文将在过充现象的基础上,结合电化学原理,对该款磷酸铁锂电芯过充不同阶段的产生原因进行剖析。过充电测试前,电芯已充满电,故电芯正极材料内能正常脱嵌的锂离子已完全脱出,并嵌入到负极石墨层之间。因此,在过充电开始后,电极上的非法拉第过程占比将大大增加,此时电芯可看作电容器,电荷将在正、负极片上积聚,积累的电荷将导致电极电势发生偏移,即出现浓度极化。也可认为,过充电过程中,所有法拉第过程都属于去极化反应,消耗电极上的电荷,减缓电荷的积累。

在过充电流下,电芯电压由以下几部分构成:①满电态下正、负极的平衡电极电势之差;②欧姆内阻所占分压(电芯内阻约为1.1mΩ,即便全为欧姆内阻,此分压也仅占0.02V);③极化内阻所占分压(主要为电荷积累造成的浓度极化)。

本文根据过充曲线的斜率不同,将该电芯过充分为Ⅰ~Ⅳ四个阶段,如图1所示。

阶段Ⅰ(电荷积累速率»电荷消耗速率):过充电开始阶段,电压上升斜率极大,说明该阶段由于电荷积累较快,而去极化的反应速率较慢,导致电压快速升高。该阶段正极电位并不是很高,电解液的分解副反应几乎还未发生,因此去极化的反应主要为正极材料过度脱锂,生成的Li+迁移至负极消耗一部分积累的电子,若过充电流较大,Li会由于嵌入困难而发生析锂。

阶段Ⅱ(电荷积累速率>电荷消耗速率):由于过充电流恒定,电荷仍以固定速率积累,但去极化反应加快,因此电压升高速率变缓。去极化反应变快,是因该阶段正极电位较高,电解液开始发生氧化分解反应消耗电荷。理论上,正极物质失电子形成M+,电解液被氧化为正极提供电子,分解后的电解液正离子,在电场作用下移动到负极得电子。

阶段Ⅲ(电荷积累速率=电荷消耗速率):电压不再上升,形成一段稳定的平台,表明此时去极化的反应速率已增快到与电荷积累速率一致。由于电极电位升高,导致电解液更易发生氧化分解反应,即能发生多种电解液的分解反应,加快了电荷消耗速率。

阶段Ⅳ(电荷积累速率»电荷消耗速率):电压再次快速上升,由于此时电解液几乎消耗完全,不再有反应继续消耗电荷,正极上的正电荷和负极上的电子继续积累,导致电压快速升高,直到达到截止电压10V停止过充电。

2.3 带夹具过充曲线分析

图2为两只软包电芯均在夹具下进行的1C和0.5C恒流过充曲线。通过对比,发现两条曲线的过充时间长短差异大,而过充电的平台电压几乎一致,不会随着在不同电流下过充而存在差异。

为探究上述现象的深层原因,本文先从影响电解液分解反应速率的因素分析入手。对于一般的化学反应而言,反应物浓度、温度和压强是影响速率的主要因素,而电解液氧化分解反应,还需考虑电压大小,因为正极电位越高,氧化性越强,电解液越容易失电子,可能引发更多种类的氧化分解反应。

在锂电池过充反应中,电极上积累的电荷量,用电芯的极化程度来表征,即电芯的电压。而反应物—电解液,我们默认其在反应的前中期一直处于过剩状态,因此过充前中期只需考虑电荷量的积累程度和积累速率。此处暂不考虑温度和压强因素带来的影响。

两条曲线电位平台相近,意味着电芯极化程度差不多,即积累的电荷量几乎一致,但是电解液氧化分解速率相差悬殊,是因为在电压平台处电荷消耗速率=电荷积累速率,而两条曲线分别是以1C和0.5C电流进行过充,即电荷积累速率差异较大。上述分析表明,过充平台时的电解液分解反应速率,并非如普通化学反应那般受反应物浓度影响,必定较大程度受制于其他因素。

因此分析电位是影响平台处电解液氧化分解反应的主要因素,分析原因为,一旦电解液的分解反应加快,即电荷消耗速率加快,则积累的电荷量降低,电位下降,很可能导致电解液的某种分解反应无法持续进行,继而电压又升高,故该反应将一直维持在该电压平台上进行。

而在过充电压到达平台之前,电解液分解速率同样也受电位影响,因为此时电位较低,电解液只发生部分能进行的氧化反应,速率较低,电荷积累速率更快,故电压上升。

2.4 更多过充细节分析

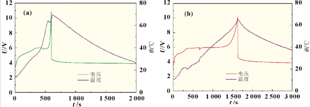
图3为两只软包电芯分别在有夹具和无夹具条件下进行1C电流过充电。明显发现,即便在同样的充电速率下,电芯的过充电时间却可以大不相同,这说明电芯有无加夹具将会较大影响电芯的过充过程。无夹具时过充平台极短,平台后半段会出现一个电压下降的现象;而电芯带夹具过充,电压平台很长且不存在下凹的圆弧形,仅在平台中出现一个电压突降的小角,随后回复到平台电压上。

上述现象将从电芯过充的实际现象上寻找答案。如图4(a)和(b)分别为带夹具和不带夹具过充后的电芯照片,可知不带夹具的电芯会在过充过程中产气鼓胀,且在两侧边处发现存在小破口,而带夹具过充的电芯由于在夹持力的作用下,电芯并无鼓胀,但在侧边发现一个较大的破口。

首先可很明显推导得,在相同充电速率下,无夹具过充时间更短的原因为:此处并非由于电芯内电解液消耗完毕,而是反应产气使得极片之间存在空隙,导致电解液难以与正负极接触与传递离子,但两电极在继续积累电荷,故电压上升。

图3中两条曲线平台电压下降的本质原因为:电解液分解速率>电荷积累速率。带夹具时,软包电芯过充产气会被排挤到两侧边,积聚的气体达到一定压强会瞬间将侧边爆开,电芯内反应产物气体快速排出,产物浓度瞬间减小,使得该反应正向的速率加快(即电解液分解速率),故平台电压也瞬间出现了一小段下降。不带夹具时,过充产气会使电芯逐渐鼓胀,当撑到一定程度,电芯虽然不会爆炸,但是侧边封边处会破裂产生一个小口,使得反应产物气体慢慢泄出,故正向反应速率只缓慢增加。如果按此分析,并结合图3会发现存在一个较不合理的现象:同为1C电流过充电,无夹具的电芯鼓胀已如此明显,但有夹具的电芯的破口时间竟然更晚。因此我们有理由怀疑,带夹具电芯的破口时间可能并非为电压平台中的突降点。图5(a)和(b)分别为两者的电压和温度对应图,可发现无夹具电芯在过充末期存在一个温度的突降,而带夹具电芯反而在前期出现了一个温度的突降,故推测该点也可能为电芯的破口点。下面为验证真实的破口时机,我们将一只电芯带夹具过充500s,该时间点位于上述两个破口的怀疑点之间,如果500s时电芯外观无破口,则表明破口时间处于后面的电压平台中。

图5 (a)和(b)分别为无夹具1C过充和带夹具1C过充的电压温度曲线图6即为带夹具电芯在过充500s后的外观照片,可发现此时侧边还未破口,但已较为鼓胀。该现象显示破口时间应为电压平台中的突降点,但似乎也反应出软包电芯过充时的一个奇特现象:软包电芯在夹具禁锢下过充,电解液反应可能朝着少气体产物的方向进行。同时提供另一种思路供参考:由于受力形式和破口形式的不同导致的差异。带夹具电芯产生的气体,汇聚在电芯的一侧乃至一角,形成封边强度抵不住较大压强而爆发的大破口。

从图5可发现无夹具过充的电芯峰值温度稍高于带夹具过充的电芯,原因一是无夹具的过充电芯产气鼓胀严重,内部积聚大量的气体,温度较高;二是胀气电芯的内阻会更大,故过充时极片产热也会更大。在更高的温度下,电极液的分解反应速率也会加快,这也是无夹具电芯平台电压曲线下凹的原因之一(分解速率>电荷积累速率)。下凹后的电压随后开始突升,说明此时电芯内部正负极片间也出现较大空隙,很快便使电解液无法再良好地接触两侧的电极继续进行反应。图7则为两只电芯均在无夹具条件下分别进行1C和0.5C电流过充,可以看出无夹具时曲线规律均是一致的,仅由电流大小的不同导致过充时间长短不同。

2.5 偏离平台的过充实例

电芯在适中的电流下进行过充时,平台总是维持在一定值附近(本文该款电芯的平台值接近6V)。但如果过充电流过大或过小时,过充电压平台是有可能偏离正常平台值的。图8为两只电芯分别在有夹具和无夹具时均在2C电流下的过充曲线,可以发现在夹具下以2C电流过充时电压平台仍为6V左右;然而电芯在无夹具下以2C过充时,电压平台虽然极短但却高于6V。原因深入分析如下:

对于电解液的分解反应而言,虽然电芯内电解液的量是过剩的,但电芯处于不同的鼓胀程度时,电解液的“实际利用率”是不同的,也就是一定电压下电解液的最大消耗速率存在差异,即带夹具过充至6V时,最大消耗速率>2C时的电荷积累速率,而无夹具过充至6V时,最大消耗速率<2C时的电荷积累速率,只有使电位继续升高来提升电解液的最大消耗速率。由于出现电压平台时,意味着“电荷消耗速率=电荷积累速率”,必然需要符合“最大消耗速率≥电荷积累速率”,因此过充平台最终会上升至何处,取决于何时最大消耗速率达到或超过电荷积累速率。

当带夹具过充时,由于电芯内部整体处于压实状态,电解液的“实际利用率”处于最大值,故只需考虑电解液在不同电位下的分解反应速率即可。而未带夹具的电芯,尤其是在较大倍率下过充时,不仅要考虑不同电位对于电解液氧化分解反应的影响,还需结合由于鼓胀所造成的电解液“实际利用率”的变化,综合得到该状态下电解液的最大消耗速率。图9为电芯带夹具在小倍率电流(0.1C)下进行过充的电压曲线,此时平台电压同样偏离了在适中电流下过充时的约6V平台值,电压平台约为5.5~5.7V。电压平台偏低的原因为:当过充电流很小时,即电荷积累速率较小,而低电位下的电荷消耗速率也较小,当较小的电荷消耗速率大小等于同样较小的电荷积累速率时,就形成了较低的过充电压平台。在该平台上,电解液将一直处于较低的分解反应速率,直到最终电解液消耗完全,两电极上开始继续积累电荷,电压上升。

3 总结

本文通过对一款磷酸铁锂软包电芯进行不同条件下的过充电测试,发现电芯电压变化

曲线呈现一定的规律,在各阶段均有特定的电压上升趋势,以及存在相近的电压平台。结合基础理论,本文提出电荷积累速率和电荷消耗速率的大小不同,是造成过充电斜率不同的本质原因。不同充电倍率下却能保持同样的电压平台,是与过剩的电解液量以及电位对电解液分解速率的影响有关。过充时电芯的鼓胀,会导致电解液的实际利用率下降,造成电压平台值以及平台持续时间的变化。过充电电流较小时,也会导致电压平台维持在一个较低值。本文提出的过充电理论及对应的现象,可为锂电测试人员提供参考及借鉴作用。