锂离子电池充放电测试及最佳寿命
实际应用中,对于锂离子电池,充放电时间和电池使用寿命两个参数是至关重要的,这两个参数与用户的使用方式有关,良好的使用方式有利于延缓电池的老化,进而延长电池寿命。
本文首先统计了电池充电的相关参数,并从化学可逆反应原理进行了分析;再结合理论设计了四种电池放电方案,并将四种方案下的放电电流大小、放电时间、电池放电容量进行对比。测试四种方案下的电池寿命,结果表明:逐级阶梯式放电方案下的电池寿命最高。
1 锂离子电池工作原理
1.1 系统模型
锂离子电池结构主要由正负电极板和隔膜两部分组成,如图1所示,其中正电极活性材料一般为锰酸锂或钴酸锂,而负电极活性材料一般为石墨。经过化学反应,在正负极上均可以产生锂离子。正负电极之间的隔膜是一种经特殊成型的高分子薄膜,具有微孔结构,可以让锂离子自由通过,但电子无法通过。在充放电过程中,电子通过外界电路在正负极之间来回运动,与锂离子结合。因此,在锂离子电池中不存在金属锂存在,只有锂离子,主要依靠锂离子在正负极之间的嵌入和脱出来工作。

1.2 工作原理
锂离子电池是二次电池,即可以进行循环充放电。因此,锂离子电池的工作原理就是电池充放电的化学反应原理,如图2所示。

充电:当外接电源对电池进行充电时,外部电路对其做功,电能转化成化学能,含锂化合物的正极有锂离子生成,生成的锂离子经过电解液运动到负极。而作为负极的碳,呈层状结构,具有很多微孔,到达负极的锂离子嵌入碳层的微孔中,嵌入的锂离子越多,充电容量越高。正极化学反应式为:

放电:同理,当对电池进行放电时(即使用电池的过程),石墨上嵌人的锂离子由负极脱出进人电解液,由电解液插嵌进人正极,释放存储的化学能,转变为电能后又运动回到正极。回到正极的锂离子越多,放电容量越高。负极化学反应式为:

从上可以得出,锂离子电池的工作原理就是锂离子电池充放电的原理,也就是锂离子的脱出过程。通常所说的电池容量就是指放电容量。电池的总反应式为:

从上述反应式可以看出,锂离子电池内部化学反Li应只涉及两种微观粒子运动,含锂化合物化学反应生成的锂离子(Li+)和自由电子(e-)。
2 电池充电测试系统
锂离子电池充电测试系统模型如图3所示,由高低温可控温箱、安捷伦数据采集仪和电脑组成。锂离子电池的正负极通过导线与可控温箱连接在数据采集仪上。测试过程中,温箱设定到目标温度,保温30min,确保电池内部已经达到设定温度后进行测试。

3 数据分析
3.1 锂离子电池充电测试
此次充电选用的锂离子电池相关参数如表1所示。测试实验中,重点探究在高低温下的电池相关性能,其中包括电池过放后激活时间、电池充满时间、充满电压、截止充电电流、温度变化与截止充电电压的关系。充电过程均从3V开始测试,直到电池充满,充电模式采用恒流转恒压充电。

以20W恒定功率给电池充电,测试电池在不同温度下工作的相关性能,具体参数如表2所示。根据表中数据可以得出以下几个结论。

(1)当电池过放后,常温下的激活时间最短,低温下的激活时间最长。
(2)电池充满时间与温度呈反比,这是因为电池内部的化学反应。高温时,电池内部化学反应速率加快,缩短了充电时间;低温时,充电时间大于常温和高温情况下的充电时间,常温和高温下的充电时间相差不大,这是因为低温下,化学反应速率较低。
(3)高温下,电池充满后的电压仅为4.17V,这是因为电池充放电的过程实际是化学可逆反应,温度较高时,破坏了化学反应动态平衡。
(4)根据第3条结论,高温下恒压阶段的截止充电电流较大,这均可以由可逆化学反应来解释。
(5)化学反应过程中,温度的影响较大,因此,低温下的涓流充电时间长于常温和高温充电时间。进而以45W恒定功率对电池进行充放电测试,结果如表3所示,相比于20W功率,过放后激活时间、电池充满时间、涓流时间均有缩短。而截止电流略大,规律一致。

量化温度对电池截止充电电压的影响,记录-5~50℃内的截止充电电压,结果如图4所示。可以看出,当温度在-5~30℃时,截止电压值上下浮动,常温25℃时截止电压为4.39V,此截止电压为温度范围内的最高值;当温度在30~50℃时,截止电压值与温度呈反比,当温度为50℃,截止电压为4.17V,对应的充电曲线如图4(b)所示,温度为50℃时,充电截止电压为常温和低温时的95%,下降了5%。

图4(a)不同温度下充电截止电压;(b)-5℃、25℃、50℃下电压曲线
3.2 锂离子电池放电测试
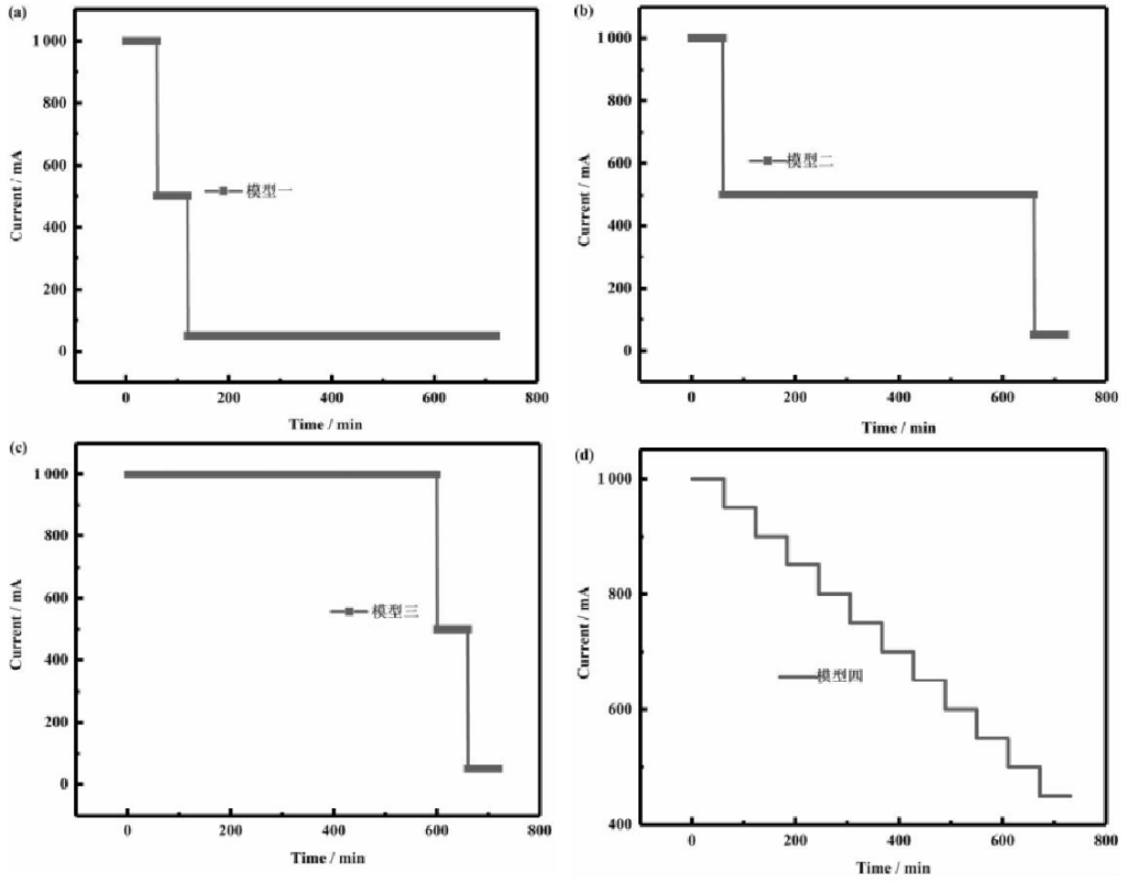
实际生活中,电池的放电场景主要是给负载供电,负载的能量需求和用户的使用习惯会影响电池的使用寿命。放电电流不能过大,会导致电池内部出现永久性损害;不能过度放电,锂离子电池内部存储电能是靠可逆的化学变化实现的,过度放电会导致这种化学变化不可逆。在此次测试实验中,设计了四种放电曲线模型,放电时间共计12h,分别探究了四种模型下的放电容量、电池寿命情况,四组测试实验独立重复。
模型一:50mA放电时间为10h,500mA和1000mA放电时间均为1h。模型二:500mA放电时间为10h,50mA和1000mA放电时间均为1h。模型三:1000mA放电时间为10h,50mA和500mA放电时间均为1h,如图5(a)(b)(c)所示。

图5(a)放电模型一;(b)放电模型二;(c)放电模型三;(d)放电模型四
理论计算放电容量如表4所示,测试模型一的理论放电容量为1550mAh,测试模型二的理论放电容量为6550mAh,测试模型三的理论放电容量为10550mAh。但是上述放电曲线存在以下不足。

(1)放电电流的突变性,从大电流1000mA切换到500mA或者从500mA切换到50mA,电池内部化学反应均为可逆反应,其过程不是瞬态进行,因此理论与实际测试存在误差。
(2)对于未知电池的特性,需要对放电时间进行优化,即现有的放电电流需与时间相互匹配。
基于以上两点不足,测试实验对放电电流的切换设置了1min的缓冲时间,并且放电电流逐级降低50mA,为放电模型四,如图5(d)所示。给予电池内部化学可逆反应预留缓冲时间,且每个放电电流保持时间均为1h。计算理论放电容量为8700mAh,该放电容量介于模型二和模型三之间,且满足市面上大多数电子产品的需求。
3.3 锂离子电池寿命的测试
在此次测试实验中,将电池实际放电容量下降至标称容量的80%时定义为阈值电量。在25℃下,定义电池实际放电容量下降到阈值电流时的充放电次数为电池寿命,其中充放电为一次循环。上述的四种模型进行实际测试,其放电次数结果如图6所示。

四种情况下的电池寿命分别为495次、465次、450次、553次。根据实验数据对比,得出结论:小电流放电时间越长,越有利于延长电池寿命,但并不是延长寿命的主要因素。模型四的阶梯式逐级递减放电模式,其电池寿命均大于其他三种模型,分别为三种模型的1.12倍、1.19倍、1.23倍。这说明放电电流及其放电时间对电池寿命的影响最大,是主要因素。
4 结论
在此次工作中,分别对电池的充放电做了理论设计与实验测试。充电部分:从温度的角度对锂离子电池充电过程中的性能参数做了大量系统性的研究,结果表明,电池过放后,在常温下的激活时间最短,低温最长,电池充满时间与温度呈反比,涓流充电时间为低温最长,常温和高温涓流时间一致。且研究了不同温度下的电池充满情况下的截止电压,当温度为50℃时,截止电压为4.17V,约为常温下的94.5%,下降了5.5%。放电部分:从理论角度设计了四种放电曲线,结合实验测试结果,证明阶梯式放电有利于保护电池内部化学结构,其电池寿命最佳,结果为553次。
