锂枝晶生长 成核和抑制策略(一) 生长成核

1 锂枝晶的成核与生长

锂枝晶的形成可分为3个阶段,如图1所示。第一阶段为成膜阶段,即锂金属负极在充放电过程中,锂金属具有高度活泼性,会和电解液发生反应形成SEI膜,SEI膜是隔离电解液和金属锂的介质,防止二者继续进行反应,然而 Li+可以透过 SEI膜在电极表面沉积。

随后进入成核阶段,即在沉积过程中,锂离子被还原成锂原子,锂原子聚集形成小晶核。之后,继续在负极表面不均匀沉积,形成不规则的凸起,直至顶破原始SEI膜。最后是生长阶段,由于在某种动力学条件下,锂沉积在长度上的生长明显优于在径向上的生长,从而导致三种形貌晶体的形成,这三种形貌分别为晶须状枝晶、苔藓状枝晶及树状枝晶,这类不规则形貌的晶体统称为锂枝晶。

在锂金属沉积过程中形成的锂晶体不仅有枝晶形貌(晶须状枝晶、苔藓状枝晶及树状枝晶),还有球形形貌的锂沉积,如图2所示。通常,球形锂沉积的调控遵循扩散-反应竞争机制,锂沉积发生在SEI下方,包括锂离子迁移通过SEI并获得电子被还原为锂原子。

在相同的镀锂工艺电极反应速率下,随着扩散能力的下降,锂离子便难以通过SEI(表示为慢速SEI),容易导致SEI下方的锂离子稀缺,从而优先聚集在尖端。因此当沉积受到扩散控制时,SEI下方稀缺的锂离子会形成枝晶形貌的锂沉积。当SEI中的锂离子扩散速率增加(表示为快速SEI)时,锂离子更快地迁移到阳极表面,使锂沉积的速控步骤变为反应控制,Li+到Li原子的转化可以在 Li成核凸起上均匀地发生,导致球形锂沉积。球形锂沉积具有明确的形态,表面光滑,没有任何尖锐的尖端,从而避免了枝晶形貌带来的严重安全隐患。其次,锂球在所有其他形态中单位体积的表面积最小,新鲜的锂和电解质之间的反应形成的固体电解质界面(SEI)更少,意味着具有更高的库仑效率和更长的循环寿命。

一般来说,球形锂沉积是一种较为理想的沉积形貌,而晶须状锂、苔藓状锂和树状锂是三种最常见的不规则锂沉积模式。这些锂枝晶的形成机制有很多,下面分别从离子浓度场、电场、应力场和温度场方面来综述上述三种锂枝晶的具体引发机制。

1.1 电场和离子浓度场对锂枝晶成核和生长的影响

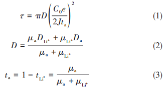
离子浓度场和电场的分布与锂枝晶的成核和生长有着直接的关系。研究者曾提出了一系列的理论来预测锂枝晶的成核与生长,其中最著名的是“Sand’s time”理论和空间电荷理论。在这些理论中考虑了许多因素,例如电流密度、阳离子和阴离子的迁移率以及电解质中的离子浓度等。Chazalviel等引入了空间电荷理论,强调阴离子在充电过程中的影响,其中树状锂枝晶起源于局部聚集的电场。在该模型中,阴离子耗尽、阳极附近的Li+积累会产生集中的空间电荷和强电场,此后,阳离子的沉积行为倾向于发生在锂金属的表面上,从而诱导树状枝晶生长。Sand等提出了枝晶成核到生长的临界时间,被称为“Sand’s time”,可由式(1)~式(3)计算得到。

在正常情况下,离子扩散过程通常是速率控制步骤,在锂金属阳极中,速率控制步骤也由快速电子交换系统中的液相中离子扩散过程控制,如临界电流密度,可由式(4)、式(5)计算得到。

在临界电流密度J*以下,有效电流密度较低,产生的离子浓度梯度较小且稳定,不会生长为锂枝晶。当电流密度超过极限时,在 Sand’s time内负电极附近的Li+浓度下降到零,这导致局部空间电荷伴随着大电场,晶核快速沉积,在Sand’s time后就会发生锂枝晶的生长。因此,延长锂枝晶的成核时间是控制锂枝晶成核从而抑制枝晶生长的有效方法。锂枝晶生长的初始时间可以由Sand方程计算,降低有效电流密度将有效延缓锂枝晶初始生长的时间。此外,SEI作为锂负极表面重要的组成部分,影响着阳离子迁移数,即控制着过渡时间,并且不稳定SEI会加剧锂离子消耗,促使表面微区Li+更快消耗完而进一步缩短过渡时间,故而SEI也控制着体系中锂离子的扩散速率。

1.2 应力场对枝晶成核和生长的影响

尖端生长的树状枝晶、根部生长的晶须状枝晶和表面生长的苔藓状枝晶的生长都与电池内的应力密切相关。调节施加在锂金属上的应力强度和分布不仅可以加速或抑制锂枝晶的生长,还可以诱导锂枝晶之间的形态转变。这是由于锂金属的硬度很低,机械强度很差,使得其成核/生长容易受到周围应力偏差的影响。应力可分为内应力和外应力,内应力是电沉积过程中体积剧烈变化和沉积速率不均匀引起的锂金属之间的应力,而外应力是相邻固体界面(例如,SEI和隔膜)产生的压应力。

1.2.1 内应力相关模型

 电镀过程引起的残余压应力存在于镀锂金属中,这种类型的内应力也广泛存在于以Volmer-Webber模式生长的其他具有高原子迁移率的材料中。这种应力的出现归因于在非平衡生长条件下锂原子通过晶界进行迁移。在内应力作用下,锂沉积物可能演变成不同形态的锂枝晶。

Kushima等提出了应力松弛模型,强调了SEI膜对锂枝晶生长的重要性。在初始阶段,锂核克服了在基底表面形成的超电势,并且由于它们的高反应性而被SEI膜迅速覆盖。随着电沉积过程的继续,应力同时积聚在沉积物的底部。一旦应力达到阈值,SEI膜将被破坏以释放压力,由于自由压应力和更好的电子/离子导电性,后续的锂金属沉积将优先在新根处触发,其中新沉积的锂金属易于生长为锂晶须。应力完全松弛后,晶须停止生长,SEI膜将重新覆盖在新暴露的锂表面上。在接下来的锂电镀循环中,应力会再次累积并诱导下一轮晶须生长。

在晶须状枝晶生长的情况下,锂电镀电流密度应该低于临界值,其中锂沉积的速率比SEI膜形成的速率慢得多,并且可以实现坚固的SEI膜的完全覆盖。当电流密度高于晶须状锂但低于树状锂的电流密度时,锂沉积速率超过了SEI膜的形成速率。在这种情况下,阳极表面通常覆盖有不完整的SEI膜。在那些没有或有较差SEI膜保护的位置,由于局部较高的电导率并且没有来自SEI膜的压应力,Li+极化和电场聚集更加显著,在这些部位,沉积速率会比在SEI膜覆盖的部分更快,并且锂金属沉积物将遵循表面生长模式生长成苔藓状枝晶。对于树状枝晶的生长,如 1.1节所述,电场和离子浓度场共同作用占据了主导作用,但树状枝晶的生长与内应力有着密切的关系,枝晶中压应力的不均匀分布决定了表面的不均匀沉积,这将进一步导致锂原子的塑性流动释放内应力并导致尖端分叉进入二级分支。然后,离子浓度和电场诱导尖端优先生长,并生长出枝晶的树状形态。

1.2.2 外应力相关模型 

锂金属有不同的外部应力来源,主要来自SEI层、固态电解质和隔膜。这些外部应力也像内部应力一样对多晶型锂的演化产生很大影响。

根据García等的计算,锂金属负极上的外部压应力会影响锂晶体的生长,其中较大的压应力有助于增加锂枝晶萌生的临界电流密度并阻碍锂枝晶的形成。最近,Zhang等通过应力-电化学耦合模型揭示并量化了外部压力(应力)对锂枝晶的影响机制。与没有外加压力的情况相比,当外压从2.0MPa增加到14.0MPa时,锂枝晶的形貌趋于相对光滑和致密,分支较少。另外,外应力也会对电化学反应产生一定的影响。模拟结果显示,随着外压力从0增加到14.0MPa,电池的平均电流密度降低,电镀容量也降低。这种减少并非遵循线性规律,当外压低于4.0MPa时,电镀容量和电流密度没有明显下降。因此,外部压力对电化学反应的影响可以总结为:过小的外压力不能显著改变内应力的分布,即机械驱动力对界面能驱动力的贡献很小。随着外部压力的增加,电化学反应受到线性抑制,机械驱动力主导界面能驱动力,从而线性减慢反应速率,这种外压力带来的抑制作用对电池的倍率性能是有害的。当外压力继续增加时,就会达到饱和状态,由于空间限制和材料压缩程度,内应力变得非常大,即机械驱动力几乎没有变化。此外,可以推断,当扩展到恒流工作条件时,电化学反应对外部压力的依赖性将表现为过电位的变化。

因此,外压力对锂枝晶生长的影响主要包括两个方面:

(1)抑制电镀反应的进行,这不利于电池的倍率性能;

(2)将锂枝晶的形貌塑造成光滑的,但扩大了机械不稳定性。因此,选择适度的外部压力可以提高锂金属负极的性能。

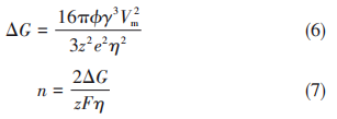
1.3 温度场对枝晶成核和生长的影响

锂金属负极的工作温度可以调节成核位点的分布。图3显示锂金属分别在60、25、5和−15℃时铜基底上进行锂电镀的晶体形态。显然,随着温度的降低,成核位点分布密集,导致晶体尺寸缩小,从60℃时面团状的大球形[图3(a)]到−15℃时分布均匀的粒子[图3(d)]。随温度变化的成核过程可以用经典的非均相成核理论来描述,如式(6)、式(7)所示。

由高温导致电位降低可知,高温产生相对较低的γ,则需要相对较低的η。因此,相对低的γ增加了一个晶核内的原子数n。

为了探究温度对锂枝晶生长行为的影响,Aryanfar等采用粗粒的动态Monte Carlo计算方法研究了不同温度下在电解质中的Li+扩散和锂沉积层的热松弛。在这个模型中,结合Li+扩散系数和迁移率计算了扩散和迁移的Li+位移,这些系数和迁移率依赖于局部电场和温度场。模拟结果表明,与低温相比,高温不易形成枝晶,这主要是由高温下Li原子和Li+的高迁移率所致。分子动力学模拟分析结果显示,锂原子在高温(>40℃)下加速扩散,将分散且尖锐的锂沉积物转变为相互连接且扁平的形态,显示出自愈效应,这是由两个凸起的表面能差异引起的(如Ostwald熟化过程)。

1.4 多物理场对锂晶体形貌的影响

在实际的充放电过程中,以上几种物理场相互协同,共同影响锂枝晶的成核与生长,进而形成多种锂枝晶形貌。图4总结了以下主要结论。

(1) 离子浓度与电场之间的关系最为密切,因为电场对Li+的扩散起指导作用,并且它们的分布规律基本一致。同时,温度场也影响Li+的扩散,并进一步影响离子浓度场的分布。

(2) 一般来说,离子浓度和电场是形成树状锂枝晶的决定因素:“Sand’s time”模型和空间电荷模型分别指出Li+的耗尽和阳极表面的剩余电荷形成了不规则的形态,除了理论模型之外,还有许多因素,如成核状态、应力场和温度场,这可能会改变局部离子浓度/电场分布,影响实际情况下树状枝晶的临界电流密度。

(3) 与树状枝晶形成相比,苔藓状和晶须状枝晶的存在主要与应力场有关,包含SEI膜的破坏和锂金属沉积引起的内应力的松弛。它们的形态差异可能源于锂金属沉积和SEI膜再生的相对速率,即在较高的电流密度下形成苔藓状锂枝晶(更快的沉积速率),而在较低的电流密度下形成晶须状锂枝晶(更快的SEI膜再生速率)。目前,锂枝晶与枝晶的结晶理论结合得不够紧密,枝晶中的成核与生长应该结合到锂枝晶中,从而进一步深化锂枝晶的机理认知。晶体的分支模式一般分为晶体学分支和非晶体学分支,在前者中,分支模式遵循晶体学规律,具有明确的结晶学取向,形成的枝晶被称为晶体学枝晶;而非晶体学分支不符合晶体学方向,是一种多层次分支生长,不具有明确的结晶学取向,其形成的枝晶被称为非晶体学枝晶,如图5所示。然而,锂枝晶的分支模式尚未明确,需要继续深入研究,为抑制锂枝晶的生长奠定坚实的基础。