辅因子辅助弱溶剂化电解液用于石墨负极低温充电
研究简介
锂离子电池(LIB)在低温下容量衰减显著,这主要是由于商用碳酸亚乙酯(EC)基电解质的高熔点和强大的Li+配位能力。然而,尽管醚基弱溶剂化电解质(WSE)在低温应用中表现出色,但它们与石墨的共插层会导致结构降解,从而带来重大挑战。本文提出了一种辅因子辅助弱溶剂化电解质(CAWSE),其灵感来源于辅因子诱导的酶分子表面电荷分布调节。为了验证该机制,将2H,3H-十氟戊烷(HFC)作为辅因子引入1M锂双(氟磺酰基)酰亚胺(LiFSI)/四氢呋喃(THF)电解质中。HFC通过分子间相互作用调节THF的表面电荷分布,诱导Li+周围溶剂分子的重排,并显著减轻溶剂与石墨的共插层。由此产生的溶剂化结构有效降低了脱溶剂能并稳定了固体电解质界面相,增强了Li+的传输动力学并降低了低温下的极化电阻。CAWSE表现出高离子电导率(-70°C时为1.3mScm-1)和高Li+迁移数(tLi+=0.58),可在-50°C下实现稳定的Li||石墨循环。在-40°C下,电池的充电容量为182mAhg-1,在100次循环中保持率为82.4%。这项研究提出了一种溶剂化结构重排策略,为开发用于低温石墨基LIBs的无共插层电解质提供了新的见解。
合成方法
电解质和电极的制备:电解质体系包括1.0MLiFSI溶于THF(WSE)和1.0MLiFSI溶于THF/HFC(体积比92.5/7.5,CAWSE),在氩气保护的手套箱中(O2<0.01ppm,H2O<0.01ppm)按所需比例混合锂盐和溶剂。仅针对Co插层表征部分,WSE系列被命名为WSE_xM,LiFSI(x)的摩尔比分别为0.1M、0.3M、0.5M、0.7M和1M。通常,将1MLiFSI溶解于THF/HFC混合溶液中,其中HFC的体积比分别控制为2.5vol%、5vol%、7.5vol%、10vol%和20vol%。电解液的缩写分别为2.5HFC、5HFC、7.5HFC、10HFC和20HFC。
为了制备石墨电极,将石墨粉、PVDF和SuperP按8:1:1的比例在NMP中混合。然后,将均匀的浆体涂在铜箔上,并在80°C的真空烘箱中干燥12h。将石墨电极冲压成直径11mm的圆盘,石墨在Cu集流体上的平均负载量约为1.8~2.6mgcm-2。同样,磷酸铁锂(LiFePO4)电极的制备方法是将80wt%的LiFePO4、10wt%的SuperP和10wt%的PVDF在NMP中混合。将所得浆料均匀涂覆在铝箔上,放入干燥箱中干燥,冲压出最终的极板(直径11mm)。LiFePO4正极的质量负载约为2.5~3.5mg·cm-2。
电化学测试:所有电池均采用CR2016纽扣电池在充满氩气的手套箱中组装。每个电池均采用预先制备的极片、6mm厚的锂箔片和一片PP/PE/PP隔膜(Celgard2325)以及设计好的电解液制成。每个电池使用50μL电解液。半电池的充放电测试采用Land系统(CT3002A)进行。循环性能测试前,前三个循环的活化过程均在室温(30℃)下以0.1C完成。半电池中1C对应的电流密度对于Gr电极为372mAhg-1,对于LiFePO4电极为170mAhg-1。电化学表征前,所有电池均开路维持10h。活化过程结束后,在恒温测试箱中测量Li||Gr半电池的低温电化学性能。循环伏安法(CV)测试从2V到0.01V,扫速为0.1mVs-1。线性扫描伏安法(LSV)测试采用三电极体系,电压范围为3.0至0V(vs.Li+/Li),扫速为1mVs-1。
图文导读

图1. 电解质的设计策略及溶剂化调控。a)辅因子对溶剂分子的诱导作用;b)传统电解质、弱溶剂化电解质(WSE)、辅因子辅助弱溶剂化电解质(CAWSE)的溶剂化结构模型;c)WSE和CAWSE中Li+脱溶过程、SEI结构与组成、溶剂在石墨电极上的共嵌入行为比较。

图2. WSE和CAWSE中石墨负极的共插层表征。a)WSE_0.5M、WSE_0.7M、WSE_1M和CAWSE中活化过程后不同电解液中石墨电极的SEM图。b)Li||Gr电池在0.1C(1C=372mAg−1)下在不同电解液中的首次充放电曲线。c)Li||Gr电池在0.1C下在不同电解液中的第二次充放电曲线。d)石墨电极在不同电解液中活化过程后的XRD。使用e)WSE和f)CAWSE的Li||Gr电池的原位XRD图和初始充放电曲线。

图3. 溶剂-溶剂相互作用及电解液溶剂化结构的表征。a)17ONMR,b)不同溶剂中的1HNMR。c)7LiNMR在不同电解液中的化学位移变化。d)辅因子效应示意图。e)THF、HFC、THF-HFC的电势表面。f)不同电解液在690–758cm−1区域的拉曼光谱。g)不同电解液溶剂化物的分布比例。h)WSE和i)CAWSE在−40°C下的径向分布函数(RDF)及配位数。j)WSE和k)CAWSE在−40°C下通过MD模拟获得的溶剂化结构示意图。

图4. 石墨电极动力学研究。a)BE、WSE和CAWSE中Li+扩散的离子电导率阿伦尼乌斯图。b)WSE和CAWSE的塔菲尔图。c)WSE和CAWSE两种Li+溶剂化结构的脱溶能。基于Gr||Gr对称晶胞的阿伦尼乌斯行为和活化能,其中WSE和CAWSE分别对应于d)Li+脱溶和e)Li+通过SEI的扩散。f)WSE和g)CAWSE的Gr||Gr晶胞的温度相关EIS曲线。基于在不同循环次数下测量的h)WSE和i)CAWSE中Li||Gr的EIS的DRT曲线。

图5. 石墨电极的界面表征。a)原始石墨和在不同电解质中循环石墨的SEM形貌表征。b)WSE和c)CAWSE中石墨电极循环的形貌,5 µm × 5 µm区域上的AFM粗糙度(R)比较。d)WSE和e)CAWSE中形成的SEI中LiF−、Li3N−和C2H3O−物质的TOF-SIMS3D深度剖析图。f)WSE和g)CAWSE中形成的SEI中代表性二次离子碎片的归一化深度剖析。使用h,j)WSE和i,k)CAWSE对石墨负极进行0s、30s、60s和100s的Ar+溅射循环后F1s和C1s XPS。

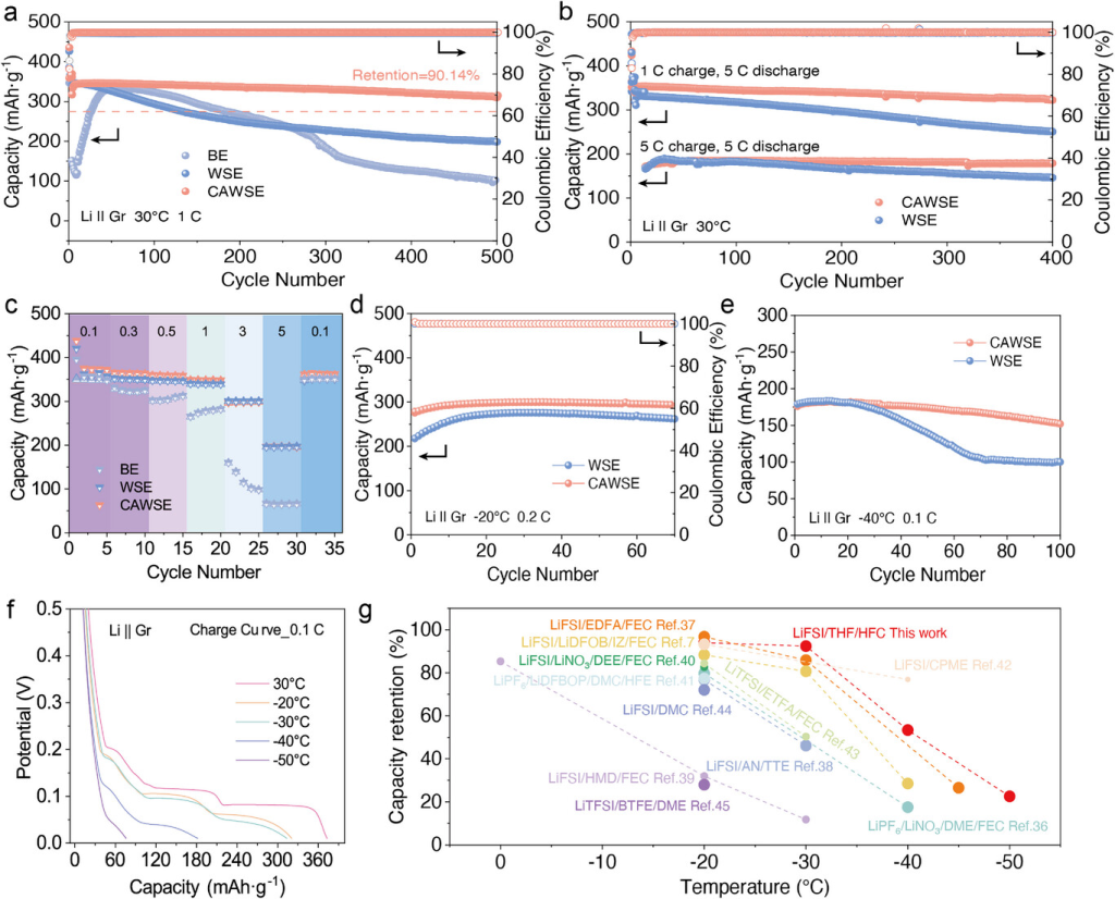
图6. Li||Gr半电池的电化学性能。a)室温下1C下的长期循环稳定性。b)室温下不同充电速率和固定5C放电速率下的快速充电性能。c)室温下使用BE、WSE和CAWSE的Li||Gr半电池的速率性能。d)在−20°C下0.2C下的长期循环稳定性。e)在−40°C下0.1C下的长期循环稳定性。f)Li||Gr电池在0.1C下的温度依赖性性能,温度从30°C降至−50°C。g)与使用改性电解质的其他Li||Gr半电池的低温电化学性能比较,具体的电化学数据列于支持信息中。
研究结论
证明了辅因子诱导Li+周围溶剂分子重排的可行性,以此来增强醚基电解质与石墨负极的相容性。通过引入非极性氟化溶剂,改变了THF的表面电荷分布,削弱了Li+-THF相互作用,并促使更多的盐阴离子掺入Li+溶剂化结构中。这种重排降低了THF与Li+共嵌入石墨层的可能性,同时最大程度地减少了对离子解离的影响。此外,辅因子效应促进了Li+的脱溶,增强了Li+的快速传输和石墨电极在低温下的抗极化能力。它还调节SEI的组成和结构,有利于形成富含LiF和Li3N的SEI,从而保护石墨的结构完整性并提高低温循环稳定性。采用CAWSE的Gr半电池在-40°C下可提供182mAhg-1的稳定充电容量,保留了其室温容量的52.75%,100次循环后的容量保留率为82.4%。该策略为低温条件下石墨基锂离子电池中无需共嵌入的电解质设计提供了一种有前景的方法。
