评估锂离子电池容量表现的方法

评估锂离子电池的循环容量表现,主要通过循环寿命测试进行。这类测试的核心是模拟电池在充放电使用中的老化过程,监测其容量衰减和内阻增长等关键指标。

一、 核心测试方法:循环寿命测试 (Cycle Life Testing)

1.测试原理:在受控环境(温度、湿度)下,对电池进行重复的充放电循环,模拟实际使用。通过定期测量电池的实际放电容量,对比初始容量,计算容量保持率或衰减率,评估电池寿命。
2.标准流程:初始容量测试 (C₁):以标准倍率(如0.5C)充放电1-3次,取平均放电容量作为初始容量。
循环条件设置:
①充放电制度:恒流-恒压充电(CC-CV) + 恒流放电(CC)。
②截止条件:充电截止电压(如4.2V)、放电截止电压(如2.8V)。
③循环次数(N):目标循环次数(如500次、1000次)。
④容量检测节点:每固定循环次数(如50/100次)进行一次标准容量测试(同C₁)。
⑤终止条件:容量衰减至初始容量的80%(工业标准寿终阈值)。

3.关键公式 

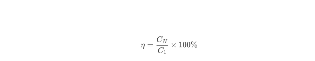
❶容量保持率 (Capacity Retention Rate, η)

CN:第N次循环后的放电容量 C1:初始容量

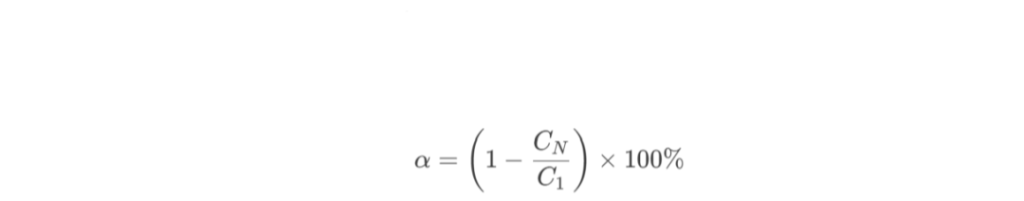
❷容量衰减率 (Capacity Fade Rate, α)

   ❸循环寿命 (Cycle Life)

即容量保持率首次降至80%时的循环次数

二、 加速循环测试 (Accelerated Cycle Testing)

为缩短测试时间,常采用严苛条件加速老化:
1.高温循环:在高温(如45°C)下循环,加速副反应(SEI生长、电解液分解)。
2.高倍率充放电:增大电流(如1C以上),加剧极化反应和机械应力。
3.宽电压窗口:使用更大充放电截止范围(如2.5–4.3V),增加电极结构应力。
注意事项:加速测试需与实况关联,避免因条件过苛导致失效机制失真。

三、 日历寿命测试 (Calendar Life Testing)

评估电池在存储状态下的容量衰减,模拟长期闲置场景:

1.测试原理  

将电池在固定SOC(如50%、100%)和温度下长期存储,定期测量容量和内阻。

2.关键公式  

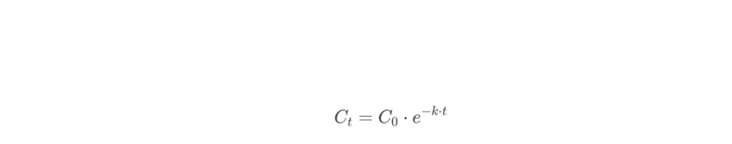
❶容量衰减模型(经验公式):  

Ct:存储时间t后的容量 k:衰减速率常数(与温度、SOC相关)

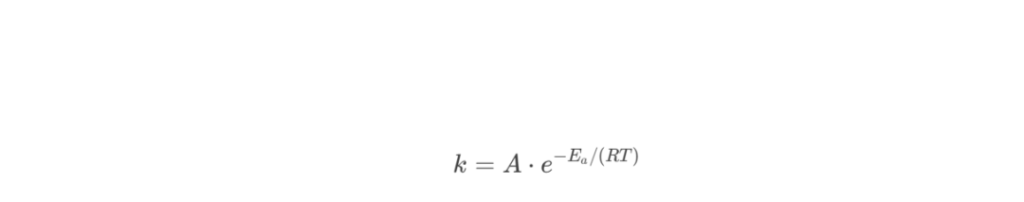
 ❷阿伦尼乌斯方程:量化温度对衰减的影响 

Ea:活化能,反映衰减对温度的敏感性 T:绝对温度(K),R:气体常数

四、 循环后拆解分析 (Post-Mortem Analysis)

循环测试后对电池进行物理拆解,深入分析衰减机制:
1.电极材料分析
XRD/SEM:检测正负极材料结构变化(如层状结构坍塌、石墨剥落)。
2.界面分析 XPS/FTIR:分析SEI/CEI成分演变(如LiF、Li₂CO₃增多)。
3.电解液消耗GC-MS:检测电解液分解产物(如酯类、醚类分解)。

结论
①循环寿命测试是评估长周期容量表现的核心方法,需结合容量保持率公式量化衰减。
②加速测试可缩短周期,但需谨慎设计条件以避免失真。
③完整的评估需结合循环后拆解与阻抗分析,揭示容量衰减的深层机制(如锂损耗、材料结构退化)。