自适应水合化学提升锌离子电池性能
研究简介
水系锌离子电池(AZIB)是大规模储能的有希望的候选材料;然而,不受控制的界面水仍然是一个主要障碍,限制了负极稳定性和离子传输。本研究选择2-吡啶甲醛(2PA)作为可逆水合调节剂(RHM),能够动态调节界面自由水。光谱和计算分析表明,RHM在电镀过程中捕获多余的水以抑制析氢和腐蚀,同时在剥离过程中释放水以促进Zn2+的溶剂化和迁移。此外,RHM与Zn2+配位并重组其局部配位环境。因此,采用RHM-ZnSO4电解液的对称电池可提供超过4000小时的长循环寿命和出色的倍率性能,即使在20mAcm−2的高电流密度下也具有低电压极化。相应的全电池在5Ag−1下表现出超过5000次循环的持久运行性能。这种自适应行为满足了镀锌和脱锌过程中不同的界面水要求,实现了界面稳定性和高效的离子传输,并为AZIB中的电解液设计提供了一种新的策略
图文导读

图1. 各种RHM的设计和表征。a)羰基化合物和H2O分子之间的结合能;b)羰基化合物在Zn表面的吸附能;c)基于偶极矩、水亲和力(EH2O)和Zn表面吸附能(EAds)的RHM设计标准;d)Zn箔、ZnSO4和RHM-ZnSO4电解质的归一化XANES光谱;e)相应的FT-EXAFS拟合结果;f)小波变换ZnK边EXAFS光谱;g)Zn[(RHM)(H2O)5]2+溶剂化结构的静电势映射。

图2. a)H2O和b)RHM分子在Zn(101)表面的吸附能;c)RHM吸附后Zn板的电荷密度差及相应的二维轮廓图;d)RHM-ZnSO4中Zn箔的高分辨率N1sXPS光谱;e)不同电解液中EDLC的计算结果;f)H2O─H2O和RHM-H2O之间结合能的比较;g)自由H2O、水团簇和RHM-H2O复合物的LUMO分布;h)RHM或H2O吸附后Zn表面d带中心移动的示意图;i)有和无RHM的Zn(101)表面H*的吸附自由能;j)RHM对HER的影响。

图3. a)Zn2+与H2O和RHM的结合能;b)Zn2+在水和RHM-H2O中的溶剂化热力学比较;c)RHM-ZnSO4的分子动力学模拟快照;d)Zn2+在ZnSO4和RHM-ZnSO4中的均方位移曲线;e)ZnSO4和f)RHM-ZnSO4放电过程中DRT的轮廓图;g)不同电解液中界面扩散对弛豫时间的影响。

图4. a)对称电池在逐步增加的电流密度下的电压曲线。b)不同电流密度下的倍率性能。c)在1.0mAcm−2、1.0mAhcm−2下,采用ZnSO4和RHM-ZnSO4电解液的Zn||Zn对称电池的长期恒电流循环性能。d)不同电解质中Zn沉积行为的原位光学显微镜图。e)循环后Zn负极的三维表面高度分布。

图5. a)ZnSO4和b)RHM-ZnSO4中氢键随Zn2+浓度变化的情况;c)不同电解液中弱氢键含量的情况;d)4PA中极化阻断效应的示意图;e)含2PA和4PA的电解液中对称电池的电压极化情况;f)–h)不同电解液中界面水行为的示意图。

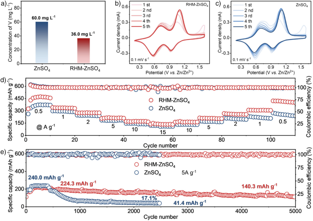
图6. a)RHM-ZnSO4和ZnSO4浸泡7天后的钒离子浓度;b)和c)含有RHM-ZnSO4和ZnSO4的全电池的CV曲线;d)不同电流密度下全电池的倍率性能;e)5.0Ag−1下全电池的循环性能
研究结论
本研究提出了一种基于自适应水合化学的电化学阶段响应界面调控策略,实现了对AZIBs界面水的动态选择性调控。通过引入具有快速水合-脱水能力的有机分子调节剂2PA(RHM),在不同的电化学阶段实现了水分子的可逆结合与释放,构建了一个适应不断变化的界面条件的水合环境。在镀锌过程中,RHM捕获界面反应水并将其稳定在电子不可及的状态,从而抑制析氢反应(HER)和腐蚀。相反,在锌剥离过程中,RHM释放结合水并优先与Zn2+配位,从而促进溶剂化壳层重构和界面离子传输。这种可逆的水合介导机制同时优化了界面稳定性和离子传输动力学。结果表明,采用RHM-ZnSO4电解液的对称电池循环寿命超过4000小时,倍率性能优异,即使在20mAcm−2的高电流密度下,电压极化也仅为0.2V。全电池在5Ag−1的电流密度下稳定运行超过5000次循环。总而言之,本研究确立了自适应水合化学作为一种有效的界面调控策略,以及一种用于水系电化学体系中动态水合调控的分子设计范式。
