磷酸铁锂电池内阻测试探究

电池内阻(Rint)主要包括三种不同的电阻:材料、电解液和电连接引起的欧姆电阻(Rohm);离子移动电阻引起的电荷转移电阻(Rch,tr);电解液内正负极之间的浓度引起的扩散电阻(Rd)
但在常规内阻测试中,电池内阻包括交流内阻直流内阻。最常见测量电池内阻的设备都是测量电池交流内阻(ACIR),即在高频率(1 kHz)下测得的电池的欧姆内阻,但其不能直观、全面地反映电池性能。相比之下,直流内阻(DCIR)不仅包括欧姆内阻(交流内阻),还包括极化内阻,更适合用于电池性能评估。本文测量了不同温度、不同频率下的交流内阻、直流内阻及电化学阻抗。

1 实验

实验电池为磷酸铁锂体系电池,交流内阻测试仪器为电池阻抗测试仪BT4560,直流内阻充放电仪器为Arbin电池测试仪,电化学阻抗谱测试仪器为德国Zahner电化学工作站。
测试锂离子电池在相同温度、不同频率下的交流内阻。选取两组不同型号锂离子电池:第一组1#~10#;第二组11#~20#。电池荷电状态(SOC)为30%,测试环境温度为28.3 ℃,测试频率为1、10、100、1000Hz,记录两组电池在上述测试条件下的交流内阻。
测试锂离子电池在不同温度、不同频率下的交流内阻。选取另外一组锂离子电池,即第三组21#~30#电池,电池SOC为30%,测试环境温度为20、23、25、28、30、32、35 ℃,测试频率为1和1000Hz,记录该组电池在上述测试条件下的交流内阻。

测试锂离子电池在相同温度、不同频率下交流内阻和直流内阻。选取第一组1#~10#电池进行交流内阻和直流内阻测试。电池SOC为 30%,测试环境温度为28.3 ℃,交流内阻测试频率为1、10、100、1000Hz,测试仪器为电池阻抗测试仪BT4560。直流内阻测试方法为以1C电流进行10s脉冲充电(Arbin电池测试仪),分别记录放电前后电池电压V1、V2,按式(1)计算直流内阻。记录上述测试条件下的交流内阻和直流内阻。

R=(V1-V2)/I     (1)测试锂离子电池交流内阻和电化学阻抗谱(EIS)。在第二组电池中选取11#~13#号电池进行交流内阻和电化学阻抗谱测试,测试环境温度为28.3 ℃,交流内阻测试频率为1、10、100、1000 Hz,测试仪器为电池阻抗测试仪BT4560,电化学阻抗谱测试仪器为德国Zahner电化学工作站。

2 结果与讨论

2.1 相同温度、不同频率下的交流内阻

图1为相同温度、不同频率下电池交流内阻测试结果,通过纵向对比相同温度下第一组或第二组在不同频率下交流内阻发现,交流内阻随测试频率降低而逐渐增加;通过横向对比第一组和第二组在相同温度、不同频率下的交流内阻发现,交流内阻随测试频率降低而逐渐增加的规律与电池体系无关,但不同电池体系变化幅度不同。

图1 相同温度、不同频率下电池交流内阻

2.2 不同温度、不同频率下的交流内阻

图2为不同温度、不同频率下电池交流内阻测试结果。频率为1Hz时,电池在不同温度下交流内阻随测试温度降低逐渐增加;频率为1000 Hz时,23~30℃测试温度下,电池交流内阻变化不明显,只在测试温度的两极端有明显变化。通过横向对比频率为1和1000Hz时不同温度下交流内阻发现,在高频下交流内阻随温度变化不明显。

图2 不同温度、不同频率下电池交流内阻

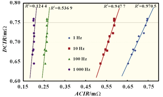
2.3 相同温度、不同频率下的交流内阻和直流内阻

图3为相同温度、不同频率下电池的交流内阻和直流内阻测试结果,通过对比不同频率交流内阻与直流内阻相关系数R2发现,1和10Hz频率下的交流内阻与其直流内阻有很强的相关性,且频率越小,相关性越强。根据上述结论,可将低频(1~10Hz)下的交流内阻作为直流内阻的另一种测量方式。

图3 相同温度、不同频率下交流内阻和直流内阻关系图

2.4 交流内阻和电化学阻抗谱

实验分析认为电池电化学阻抗由四部分组成:

(1)隔膜、电极材料和外部电阻等组成的高频区域的欧姆阻抗;

(2)活性物质与集流体之间的接触阻抗;

(3)离子和电子在具有一定厚度的多孔电极中传递与转移的扩散阻抗;

(4)低频下的Warburg阻抗。


图4为不同频率下电池交流内阻与电化学阻抗谱的测试结果。不同频率下测得的电池交流内阻值分别与电化学阻抗谱某一点重合,说明不同频率下的交流阻抗值与不同频率下的电化学阻抗值一致。其中,1Hz下的交流阻抗值反映低频部分的Warburg阻抗;10Hz下的交流阻抗反映低频部分的扩散阻抗;100Hz下的交流阻抗反映中频部分的接触阻抗;1000Hz下的交流阻抗反映高频部分的欧姆阻抗。

图4 不同频率下交流内阻与电化学阻抗谱