水分对锂电池性能的影响-全面解析
一、电解液中水分含量对电池性能的影响
通过控制电解液在干燥房的暴露时间来获得不同水分含量的电解液,同时组装磷酸铁锂软包电池进行测试。标记电解液水分含量分别为20 ppm( A) 、60ppm( B) 、120 ppm( C) 、250 ppm ( D) 、500 ppm( E)。
(1)水分对电池容量的影响

水分对电池首次放电容量的影响
从上图可以看出,随着电解液中水分含量的增加,电池首次放电容量逐渐降低。
(2)水分对电池内阻的影响

由上表看出,随着水分含量的增加,电池的内阻呈逐渐上升的趋势,并且存储四周后内阻的增加值也逐渐上升。这主要是由于水分含量低时,能形成均匀致密的SEI膜,此时电池内阻较小。而当水分含量高时,副反应较多,副反应产物POF3和LiF增多,导致电池内阻增大。
(3)水分对电池循环性能的影响

不同水分含量的电池在 1 C 时的循环性能图
由上图可知,当水分含量为20ppm时,循环1000圈后电池的容量保持率为92% 。而水分含量大于250ppm的电池,容量衰减较快。水分含量为500ppm的E电池,在循环900圈之后,出现了急剧的衰减。
水分过量时,水促使电解液中LiPF6分解产生HF,HF对电极材料有较强的腐蚀性,这也是导致容量衰减的一个原因。
(4)水分对电池厚度的影响

影响厚度的主要因素为产气,水分含量过高,会导致电解液分解、副反应更加剧烈。
二、极片水分对电池性能的影响
将焊接 极耳后的磷酸铁锂正极片放置在湿度和温度一定的干燥 间,通过控制搁置时间及库仑法水分测试仪标定得水分含量 0.3‰ ~ 0.7‰之间的正极片。
(1)不同水分含量对电池循环性能的影响

1C循环性能图
随着循环的进行,正极片水分含量超过0.6‰的电池容量急速衰减,性能恶化,循环200周后容量衰减至79.2mAh·g-1, 仅为初始容量的63.81%。
(2)倍率性能的影响

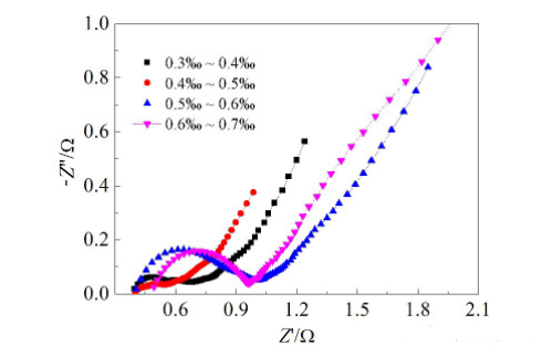
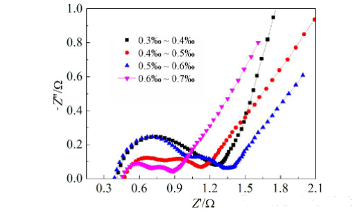
(3)EIS-内阻的影响

化成后EIS图谱

循环200圈后的EIS图谱
由化成后EIS曲线可以看出,当水分大于0.6‰后,阻抗谱半圆与横坐标的交点向右偏移,表现为内阻的增大,离子电导率的降低。而循环200圈之后的图谱,水分含量越大,曲线有多个圆弧,表示多界面的形成,可能与副反应生成新的物质有关。
(4)材料结构影响

XRD峰并没有明显变化,因为磷酸铁锂结构比较稳定,200圈的循环还不足以导致结构变化。不妨循环1000圈之后,再观察。

A为循环前SEM图,BCDE分别对应不同水分含量的极片,after 200 cycle later
可以看出,在循环后4种样品均在不同程度上发生了颗粒破裂,水分含量超过0.6‰的颗粒破裂明显, 颗粒的破裂可能会影响磷酸铁锂电池的电化学性能。
(5)材料粒径分布

从图中粒径的分布来看,0.4-0.5‰和0.6-0.7‰的粒径较大。文献中说是用循环后的极片剥离下粉体后测试,首先极片含有PVDF、导电剂、正极材料,因此这样的测试误差应该还是蛮大的。
