恒电流间歇滴定(GITT)
恒电流间歇滴定技术(Galvanostatic Intermittent Titration Technique,GITT)。
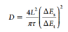
假设扩散过程主要发生在固相材料的表层,GITT方法主要有两个部分组成,其中第一部分为小电流恒流脉冲放电,为了满足扩散过程仅发生在表层的假设,恒流脉冲放电的时间t要比较短,需要满足t<<L2/D,其中L为材料的特征长度,D为材料的扩散系数;第二部分为长时间的静置,让Zn离子在活性物质内部充分扩散达到平衡状态。


其中,
τ是弛豫时间,【已知】;
nm是摩尔数,【已知】;
Vm是电极材料的摩尔体积,【已知】;
S是电极/电解质接触面积,【已知】;
△Es是脉冲引起的电压变化;
△Et是恒电流充(放)电的电压变化;
△Es和△Et的数值如图所示。


注意:
1.一般充放电电流密度选择小电流0.1A/g或0.05A/g
2.脉冲时间尽可能小于弛豫时间,脉冲和弛豫时间越短,采取的点越多,但数据有可能存在较大偏差;此处脉冲时间为5min,弛豫时间为30min, 记录时间越短采集数据越多,可取10s
