如何提高锂电池的低温性能
改善锂电池的低温性能需要从材料、电解液、界面工程等多维度进行优化。以下是基于最新研究进展和传统方法的综合策略:
一、正极材料优化
表面包覆与导电改性
使用导电材料(如碳、快离子导体)对正极材料(如LiFePO₄、镍钴锰酸锂)进行表面包覆,可降低界面阻抗,减少副反应,提升离子扩散速率。例如,快离子导体包覆的镍钴锰酸锂在-20℃下容量可达127.7mAh/g,显著优于未包覆材料。
导电聚合物或金属氧化物包覆可增强电子传导性,缓解低温极化效应。
Huang等通过一种新颖且简便的软化学法在 钴酸锂(LCO)表面包覆了一层厚度均匀(5nm)的非 晶磷酸锆层,通过表面包覆构建一层高离子电 导率和界面相容性优异的正极固态电解质界面层, 可以显著降低界面阻抗,并提高钴酸锂在高压下的 循环稳定性。
体相掺杂
通过掺杂Mn、Al、Cr、Mg等元素增大材料层间距,缩短锂离子迁移路径。例如,Al掺杂的LiNi₀.₅Co₀.₂Mn₀.₃O₂在低温下的克容量显著提升。
Luo等通过溶胶-凝胶法,将Co元素引入LiNi0.5Mn1.5O4 晶格的过渡金属位置,降低了Li+的扩 散势垒,增加正极材料的离子/电子电导率,有 助 于 改善正极材料在低温下的扩散动力学。在室温下,LiNi0.5Mn1.5O4 材料在1C下循环200次后具有93.89%的高容量保 持率,在-20℃可提供88.43%的室温容量, 并在半电池中保持良好的循环稳定性。
粒径控制
减小正极材料粒径可缩短锂离子扩散路径,但需平衡与电解液的副反应。实验表明,小粒径LiFePO₄在-20℃下放电容量更高。
下图为三种不同粒径分布的磷酸铁锂,以及它们在低温下的性能对比。LFP-Y,E,W的初始粒径分别为600,300,100nm。
结果表明具有更小初始粒径的纳米级LFP-W材料(100nm以下)更有利于Li+在低温环境下进行脱嵌,小尺寸电极材料可提高Li+在活性材料中的扩散 能力,加快低温下电极材料的传质传荷动力学传输 过程,从而提升电池的低温容量输出能力
二、电解液优化
设计合理的低温电解液组分是改善低温LIBs性 能的主要策略。与制备功能电极材料的高成本相比,配制先进的低温电解液是实现大规模商业化应用更可行和更经济的做法。
溶剂体系设计
降低高熔点溶剂(如碳酸乙烯酯EC)的比例,引入低黏度、低熔点溶剂(如乙酸乙酯、四氢呋喃基醚类),可显著提高低温电导率。例如,四氢呋喃基醚类溶剂结合氢氟醚共溶剂,使锂金属电池在-40℃下循环稳定。
参考文献:

该文章通过使用四氢呋喃(THF)和2-甲基四氢呋喃(2-MeTHF)作为对比溶剂,揭示了局部超浓电解液的快速界面脱氟动力学在调控锂金属生长和锂金属负极稳定性方面的关键作用,实现了-30 ℃低温下无枝晶的锂沉积形貌以及约99.63%的锂沉积/剥离库仑效率。
非晶态电解液(如EC与聚乙二醇二甲醚混合)在-60℃仍保持0.014 mS/cm电导率。
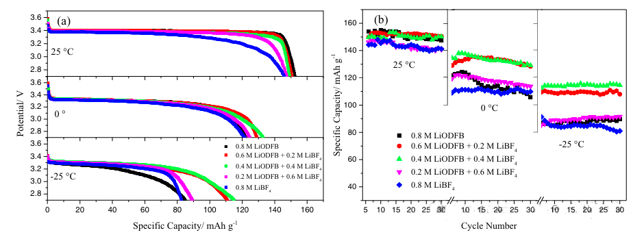
新型锂盐与添加剂
采用LiBF₄、LiODFB(二氟草酸硼酸锂)、LiTFSI(双三氟甲基磺酸亚胺锂)替代传统LiPF₆,可降低电荷转移阻抗。例如,LiTFSI电解液在-40℃电导率达2 mS/cm。
添加剂如FEC(氟代碳酸乙烯酯)优化SEI膜成分,增加LiF含量,降低低温阻抗,使-20℃容量提升50%。
Zhao 等研究了LIBF4 /LiODFB(摩尔比1∶1)-EC/ DMC/亚硫酸二甲酯(DMS)(体积比1∶2∶1)的电解液 体系,在-40℃下的放电比容量为82.5mAh/g,并且在50次循环后具有约100%的容量保持率。




Petibon等研究了以VC作为唯一 碳酸盐成分的电解液,电 池 能 够在-14℃、4C下保 留40%的放电容量,而具有3%(质量分数)VC的传统 EC/EMC电解液的电池在-14℃下不能以超过2C 的倍率放电,如下图所示。

Won 等使用PDMS-A和锂改性二氧化硅纳米盐(Li2O2 ) 作为LIBs的电解液添加剂,利用其电化学稳定性提高LIBs电池在-20℃下的性能,总体 而言,与 没 有 添加剂的LIBs(95mAh/g)相比,具有这 种双添加剂配方的LIBs在-20℃和0.1C放电倍率 下具有高的比容量(110mAh/g)。

西安交大团队发现,富有机物SEI在低温下具有更低阻抗。通过有机硅电解液构建的富有机SEI,使锂金属电池在-40℃容量提升22.5%。
清华大学提出“智能防护衣”技术,通过电场辅助超分子自组装层动态调节SEI膜,在-79℃仍支持高效放电。
三、负极材料改进
表面处理与包覆
石墨表面氧化或氟化处理可减少活性位点,增加微纳孔道,促进锂离子传输。例如,氟化处理天然石墨可提升低温循环性能。
软/硬碳包覆或金属(如Ag)包覆可增大层间距,降低SEI膜阻抗。
掺杂B、N、S、K等元素扩大石墨层间距。例如,掺磷石墨层间距增大,增强锂离子扩散能力。
颗粒尺寸优化
减小负极颗粒尺寸(如6μm焦炭)可缩短锂离子迁移路径,-30℃容量保持率提升至61%。
Zhao等通过氧化商业介炭微珠(MCMB),制备了膨胀介炭微珠(EMCMB),以增加 其层间距离,在-10和-40 ℃时分别具有130和100mAh/g的比容量。
四、界面工程与新型技术
协同脱溶剂策略
有学者通过设计电子离域型MOF材料,加速锂离子脱溶剂化过程,使Li-NCM811全电池在-20℃循环130次后容量保持97%。
三维宿主材料设计
三维多孔结构宿主材料(如碳纳米纤维复合材料)可抑制锂枝晶生长,提升低温循环稳定性
