如何分析循环伏安(CV)曲线
说明:这篇文章详细介绍了循环伏安(CV)曲线的分析方法,涵盖其基本原理、关键参数解析、影响因素及作用。通过学习本文,读者可以掌握如何通过CV曲线判断电极反应的可逆性、评估电化学活性,还能了解扫描速率、电解质种类、电极材料等因素对CV曲线的影响,对电化学研究和材料性能评估具有重要指导意义。
循环伏安法的基本原理
循环伏安法(Cyclic Voltammetry,CV)是电化学研究中一种基础且广泛应用的表征技术,操作简便且信息丰富,可用于探究电极反应机理、识别电活性物质、计算电化学动力学参数以及评价材料电化学性能等。
其核心是向工作电极施加线性扫描的电位信号(扫描速率10~1000mV/s),电位达到设定极限后反向扫描,形成完整循环。
如图1,记录电极间电位随时间变化,同时监测电流,最终得到电位-电流的CV曲线。典型CV曲线包含氧化峰和还原峰。可逆反应的CV曲线呈对称峰形,而不可逆或准可逆反应会出现峰形畸变、峰间距增大等现象。

图1:可逆、准可逆、不可逆循环伏安(CV)曲线。DOI:10.1021/acsenergylett.1c01675
描述CV曲线的基本电化学原理基于能斯特方程和法拉第定律。能斯特方程反映了电极电位与电活性物质浓度之间的关系:
E=E°’+(RT/nF)ln([Ox]/[Red])
其中,E为电极电位,E°’为条件电极电位,R为气体常数(8.314 J/(mol·K)),T为绝对温度(K),n为转移电子数,F为法拉第常数(96485 C/mol),[Ox]和[Red]分别为氧化态和还原态物质的浓度。
法拉第定律则定量描述了电极反应产生的电流与电活性物质消耗量之间的关系,是CV曲线峰电流计算的理论基础。
氧化还原峰的关键参数解析
氧化还原峰是CV曲线的核心信息载体,通过分析峰电位、峰电流、峰形对称性等参数,可直接判断电极反应的可逆性、电子转移数及反应机理。
峰电位(Epa与Epc)
峰电位是指CV曲线上氧化峰或还原峰的顶点所对应的电位,分别用Epa(阳极峰电位)和Epc(阴极峰电位)表示。峰电位是识别电活性物质的重要依据,不同物质具有特征性的峰电位,类似于“电化学指纹”。
峰间距ΔEₚ是判断电极反应可逆性的关键指标,定义为氧化峰电位与还原峰电位的差值:
ΔEp=Epa-Epc
对于n电子转移的可逆电极反应,在25℃时,理论峰间距ΔEp为59/nmV。例如,单电子转移反应(n=1)的理论ΔEp为59mV,双电子转移反应(n=2)的理论ΔEₚ为29.5mV。
当实际测量的ΔEp接近理论值时,表明电极反应具有良好的可逆性;若ΔEp显著大于理论值(如超过100mV),则说明反应存在不可逆性,可能受到电子转移动力学阻力、电极表面吸附或传质过程的影响。

图2:循环伏安图(特定电位下的可逆和不可逆反应)。DOI: 10.1149/2.0241905jes
峰电流(ipa与ipc)
峰电流是指CV曲线中氧化峰或还原峰顶点所对应的电流值,分别用ipa(阳极峰电流)和ipc(阴极峰电流)表示。峰电流与电活性物质的浓度、扫描速率、电极表面积等因素密切相关,是定量分析的核心参数。
对于可逆的扩散控制电极反应,峰电流遵循Randles-Sevcik方程:
iₚ = 2.69×105 × n^(3/2) × A × D^(1/2) × v^(1/2) × c
其中,ip为峰电流(A),n为转移电子数,A为电极表面积(cm2),D为电活性物质的扩散系数(cm2/s),v为扫描速率(V/s),c为电活性物质的浓度(mol/cm3)。
Randles-Sevcik方程表明:在一定浓度和温度下,可逆反应的峰电流与扫描速率的平方根(v^(1/2))呈线性关系,这是判断反应是否受扩散控制的关键。若峰电流与v^(1/2)线性相关,表明反应由电活性物质向电极表面的扩散控制;若与扫描速率v线性相关,则反应受电极表面吸附控制。
如图3,当电位从V1扫向V2时,检测到氧化,此时的Epa对应ipa,表明电极附近的分析物被氧化。随后,电流因分析物向电极扩散而下降,直到电压切换到反向扫描。在反向扫描时,分析物在工作电极上被还原,此时的Epc对应ipc。

图3:可逆氧化还原体系的循环伏安图。DOI:10.1021/ed060p702
峰形对称性
如图4,峰形对称性反映了氧化峰或还原峰的上升沿与下降沿的对称程度。
可逆反应的CV峰形呈对称的“钟形”,上升沿和下降沿斜率基本一致。
而不可逆反应的峰形通常不对称,表现为前沿陡峭、后沿平缓,或峰位置偏移。其CV曲线的阳极峰和阴极峰形状差异大,峰电流比偏离1。这主要是因为不可逆反应在反向扫描时难以恢复到初始状态,反应速率受电荷转移阻力大、反应物扩散缓慢等因素限制。

图4:正扫、反扫循环伏安图。DOI: 10.1021/acs.jchemed.7b00361
CV曲线的影响因素
扫描速率
扫描速率是CV实验的关键参数,显著影响CV曲线的形状和特征。
如图5在低扫描速率下,电极反应速率较慢,电位变化也缓慢,导致CV曲线的峰电流较小,阳极峰和阴极峰之间的电位差ΔEp较小。
随着扫描速率增加,电极反应速率加快,电位变化速度加快,CV曲线的峰电流增大,ΔEp也增大。这是因为高扫描速率下,电极电位快速变化使反应的不可逆性增加,电荷转移受限,需要更大的过电位来驱动反应。
此外,扫描速率还会影响CV曲线的形状:可逆反应在低扫描速率下曲线对称,高扫描速率下可能出现不对称;不可逆反应的不对称性则随扫描速率增加而更加明显。

图5:不同扫速下的CV图。DOI:10.1002/aenm.202403354
电解质种类
不同电解质的离子浓度、迁移数和水合作用能力不同,会改变电极表面的电荷传递和物质扩散。高浓度电解质使CV曲线的峰电流增大,电位差ΔEp减小,反应更易进行;低浓度电解质则使峰电流小,ΔEp大,反应受限。此外,离子种类也会影响CV曲线的形状和对称性。
如图6研究了PTCDA电极在CO32-、SO42-和ClO4–钠离子电解质溶液中的电化学行为。硫酸盐和高氯酸盐阴离子的扫描速率归一化CV曲线说明SO4²⁻和ClO4⁻分别位于两端且容量随扫描速率的变化,表明PTCDA电极的倍率能力受阴离子性质显著影响。

图6:不同电解质的CV曲线,扫描速率为0.1 mV s-1。DOI:10.1002/anie.20231137
电极材料与表面状态
电极材料的性质对CV曲线影响显著。不同材料的电极在相同体系中CV曲线差异大。金属电极导电性和电化学活性好,CV曲线峰电流大,ΔEp小;半导体电极活性弱,峰电流小,ΔEp大。
电极表面状态如粗糙度、修饰、吸附等也会影响CV曲线。粗糙表面增加表面积,提升反应速率,使峰电流增大;修饰或吸附物则会改变表面电化学性质,影响CV曲线形状和特征。
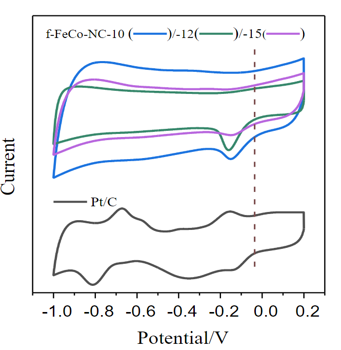
以图7中FeCo-NC材料作为铝-空气电池阴极催化剂的研究为例,制备条件不同所得到的催化剂表面状态也不同,CV测试能揭示不同材料的催化活性差异。通过多次不同速率的反复扫描得到CV曲线,可获取催化剂的电化学性能、电流密度增量及反应可逆性等信息。

图7:f-FeCo-NC-X和Pt/C催化剂在氧气饱和0.1M KOH电解液中的CV曲线。
CV曲线的作用
判断可逆性
峰位的对称性与分离程度为判断反应可逆性提供了重要信息。
如图8所示,对于可逆体系,氧化峰和还原峰的峰电位差(ΔEp)约为59/n mV(25℃时),且峰电流比(ipa/ipc)接近1。准可逆体系的峰电位差大于59/n mV,但仍能观察到明显的氧化还原峰对。
完全不可逆体系则可能只观察到一个峰(氧化峰或还原峰),另一个峰完全消失或极其微弱
若反应为可逆,则氧化峰与还原峰的峰高大致相等,曲线呈现上下对称;若反应不可逆,则氧化峰与还原峰的高度存在差异,曲线的对称性明显较差。

图8:可逆、准可逆、不可逆循环伏安图。
评估电化学活性
通过反复扫描电极电位并记录电流-电位曲线,可观察材料的氧化还原行为。峰电流大小反映活性物质的多少和反应速率,峰电位位置与反应的热力学性质相关,曲线形状和面积体现材料的可逆性和电荷存储能力。
高活性材料的CV曲线通常有明显对称的氧化还原峰,且循环稳定性好,表明其在电化学反应中电子转移和离子嵌入/脱出效率高,是评估电极材料性能的重要依据。
如图9通过CV测量电极的电化学活性表面积(ECSA),可评估其表面活性。ECSA是根据电化学双层电容(Cdl)估算得出的。Cu9S5 SNWs电催化剂的Cdl值(12.06 mF cm-2)和ECSA值(301.5 cm2)显著高于Cu9S5 NWs和Cu9S5 NCs,分别达到后两者的近两倍和三倍以上,证实其具有更多促进NO3–RR)的活性位点。

图9:Cu9S5 SNWs的CV测试及ECSA值。DOI:10.1002/aenm.202403354
